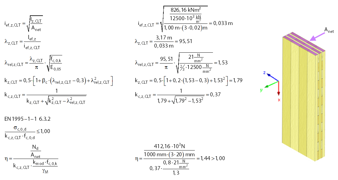
Calcul de barre équivalente selon EN-1995-1-1, chapitre 6.3.2
Calcul de barre équivalente selon EN-1995-1-1, chapitre 6.3.2
30.05.2024
009661
  • RFEM 5
  • RF-TIMBER Pro 5
  • RF-STABILITY 5
    • Structures bois
    • Analyse de stabilité
    • Eurocode 5

Calcul de barre équivalente selon EN-1995-1-1, chapitre 6.3.2

Utilisé dans
  • Analyse de stabilité de composants structurels 2D avec exemple de paroi en bois CLT – 2
Partager