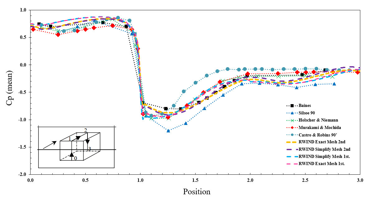
Valeur moyenne Cp utilisant la méthode de maillage simplifiée et exacte et la discrétisation du maillage du premier et du second ordre
Valeur moyenne Cp utilisant la méthode de maillage simplifiée et exacte et la discrétisation du maillage du premier et du second ordre
19.11.2024
046027
  • RFEM 6

Valeur moyenne Cp utilisant la méthode de maillage simplifiée et exacte et la discrétisation du maillage du premier et du second ordre

Utilisé dans
  • Comment réaliser un exemple de validation dans RWIND ?
Partager