1821x
001863
19.12.2023

Comment réaliser un exemple de validation dans RWIND ?

Créer un exemple de validation pour la dynamique des fluides numérique (CFD) est une étape cruciale pour garantir l’exactitude et la fiabilité des résultats de simulation. Ce processus consiste à comparer les résultats des simulations CFD avec des données expérimentales ou analytiques issues de scénarios réels. L’objectif est de démontrer que le modèle CFD peut fidèlement reproduire les phénomènes physiques qu’il est conçu pour simuler.

Ce guide décrit les étapes essentielles pour développer un exemple de validation pour une simulation CFD, de la sélection d’un scénario physique approprié à l’analyse et la comparaison des résultats. En suivant méticuleusement ces étapes, les ingénieurs et chercheurs peuvent renforcer la crédibilité de leurs modèles CFD, ouvrant la voie à leur application efficace dans divers domaines tels que l'aérodynamique, l'aérospatiale et les études environnementales.

La création d’un exemple de validation pour les simulations de dynamique des fluides numériques (CFD) dans les applications en génie éolien implique plusieurs étapes spécifiques adaptées aux complexités du flux de vent et de ses interactions avec les structures et l'environnement. Voici un guide étape par étape :

1. Définition du problème de génie éolien

  • Spécifiez clairement le scénario de génie éolien que vous simulez, tel que le flux autour des bâtiments, des ponts ou d'autres structures.
  • Incluez des détails sur le terrain, les caractéristiques de la couche limite atmosphérique, et tous les facteurs environnementaux pertinents.

2. Sélection d'un cas de référence Adéquat

  • Choisissez une étude de cas de génie éolien bien documentée avec des données expérimentales ou de terrain fiables. Cela peut être des tests en soufflerie ou des mesures à grande échelle.
  • Le cas doit ressembler étroitement à votre scénario en termes de géométrie, d’échelle et de conditions de vent.

Pour notre étude actuelle, la publication [1] du Journal of Wind Engineering est sélectionnée comme cas de référence. Le modèle est illustré sur la figure 1 :

3. Développement du modèle CFD

  • Géométrie : Créez un modèle numérique de la structure et du terrain environnant. Pour les bâtiments, incluez des détails tels que la forme, les caractéristiques de la façade et les structures voisines.
  • Maillage : Générerez un maillage qui capture la géométrie avec précision, en prêtant une attention particulière aux zones où des gradients de flux élevés sont attendus, comme les angles et les bords des structures.
  • Conditions aux limites et initiales : Définissez des conditions aux limites qui reflètent le profil de vent (vitesse et direction) à différentes hauteurs, variations de température, et conditions de pression.
  • Paramètres du solveur : Sélectionnez des solveurs et des modèles de turbulence appropriés (tels que k-ε ou qimulation des grandes structures de la turbulence) connus pour bien performer dans les simulations de génie éolien.

Les hypothèses initiales sont considérées comme le Tableau 1.

Tableau 1: Ratio dimensionnel et données d’entrée
Vitesse de base du vent V 10.13 m/s
Hauteur de la toiture h 6 m
Dimension horizontale α 6 m
Angle de la toiture θroof 0 Degré
Densité de l’air – RWIND ρ 1.25 kg/m3
Directions du vent θwind 0 Degré
Modèle de turbulence – RWIND RANS k-ω SST à État Stable - -
Viscosité cinématique (Équation 7.15, EN 1991-1-4) – RWIND ν 1.5*10-5 m2/s
Ordre – RWIND Premier et Second - -
Valeur cible résiduelle - RWIND 10-4 - -
Type de résidu – RWIND Pression - -
Nombre minimal d’itérations – RWIND 800 - -
Couche limite – RWIND NL 10 -
Type de fonction murale – RWIND Améliorée / Mélangée - -

4. Exécution de la simulation

  • Effectuez des simulations en considérant à la fois des analyses en régime permanent et transitoire, car le flux de vent peut avoir des variations temporelles significatives.
  • Vérifiez que la simulation dure suffisamment longtemps pour capturer la dynamique de flux pertinente autour des structures.

5. Processus de validation

  • Comparaison avec les données de référence : Comparez vos résultats de simulation avec les données du cas de référence, en vous concentrant sur des paramètres tels que les profils de vitesse du vent, la distribution de pression sur les structures et l’intensité de la turbulence.
  • Analyse d’erreur : Effectuez une analyse quantitative pour évaluer les divergences entre votre simulation et les données de référence.
  • Analyse de sensibilité : Testez comment les changements de densité du maillage, des conditions aux limites, et des modèles de turbulence affectent vos résultats.

Pour l’exemple actuel, l’analyse de sensibilité est montrée selon la figure 2. Les résultats des forces de traînée totales sont étudiés pour six tailles de maillage différentes. L'indépendance du maillage est obtenue à 1.6 millions de cellules (Maillage #4). Dans la CFD, une étude de convergence de la grille permet de trouver la taille de maillage optimale (Maillage #4) où les résultats de la simulation (par ex., force de traînée) deviennent indépendants de du maillage. L'utilisation d'un maillage trop grossier comme Maillage #1 peut conduire à des résultats inexacts, tandis que des maillages trop fins peuvent introduire des erreurs numériques et augmenter le temps de calcul comme montré dans Maillage #6 sur la figure 2.

Pour identifier le maillage optimal qui assure à la fois précision et indépendance de la grille, il est recommandé d’évaluer au moins trois tailles de maillage différentes. Lorsque les résultats se stabilisent avec des maillages plus fins, la solution est considérée comme fiable et indépendante de la densité du maillage. Il est aussi recommandé de consulter des références importantes comme ASCE 7-22 Chapitre C31 - Procédure en soufflerie, Yeo, D. 2020 [2], et Roache [3].

6. Documentation

  • Documentez votre méthodologie de manière approfondie, y compris les hypothèses, les conditions aux limites, et tous les paramètres pertinents.
  • Incluez une comparaison détaillée de vos résultats avec les données de référence, mettant en évidence à la fois les concordances et les divergences.

7. Raffinement itératif

  • Si des écarts significatifs par rapport aux données de référence existent, affinez votre modèle. Cela pourrait impliquer l'ajustement de la résolution du maillage, la modification des modèles de turbulence, ou la révision des conditions aux limites.
  • Répétez le processus de simulation et de validation jusqu'à ce que le modèle prédise de manière fiable le comportement du flux de vent.

8. Considérations pour les applications en génie éolien

  • Les simulations CFD en ingénierie éolienne doivent souvent tenir compte de phénomènes complexes comme la formation de tourbillons, la réponse aux rafales, et les effets de sillage.
  • La topologie urbaine, les effets du terrain, et les conditions de stabilité atmosphérique peuvent influencer significativement le flux de vent et devraient être inclus dans le modèle lorsqu'ils sont pertinents.

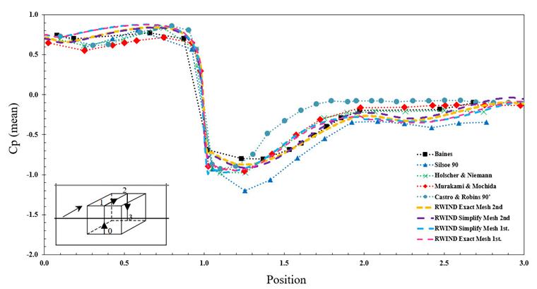
9. Résultats

Le diagramme de la valeur moyenne de Cp à l’aide de la simulation en régime permanent est réalisé pour les méthodes simplifiées et exactes de génération de maillage dans RWIND ainsi que pour les première et seconde méthodes du schéma numérique. Les résultats montrent une bonne concordance entre les méthodes expérimentales et numériques selon la référence [1]. Les Images 3 et 4 montrent la valeur moyenne de Cp à travers une ligne spécifiée dans les directions verticale et horizontale.


10. Conclusion

Ce processus de validation est crucial pour garantir que votre modèle CFD représente avec précision les complexités du flux de vent dans les applications d'ingénierie. Il aide à renforcer la confiance dans les résultats de simulation, qui peuvent ensuite être utilisés pour des décisions de conception, des évaluations de sécurité, ou des études de recherche supplémentaires. Le modèle de validation est téléchargeable ici :


Auteur

Mahyar est responsable du développement de produits ainsi que du marketing de Dlubal Software, en particulier pour RWIND 2. Il allie le développement technique à l’amélioration de la communication produit.

Références


;