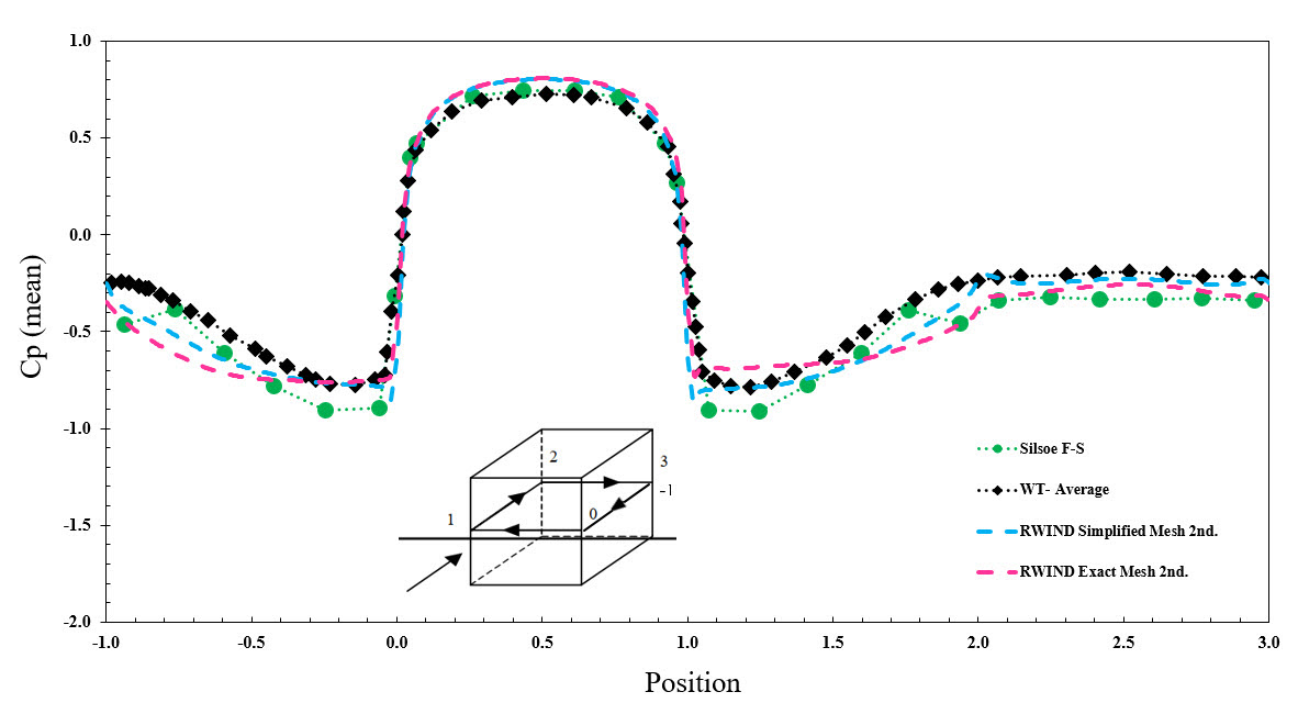
Valeur moyenne de Cp utilisant la méthode de maillage simplifiée et exacte
Valeur moyenne de Cp utilisant la méthode de maillage simplifiée et exacte
19.11.2024
046028
  • RFEM 6

Valeur moyenne de Cp utilisant la méthode de maillage simplifiée et exacte

Utilisé dans
  • Comment réaliser un exemple de validation dans RWIND ?
Partager