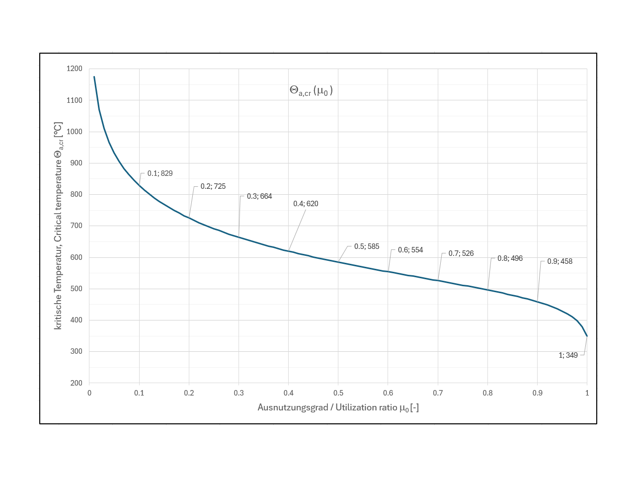
Le graphe de la température critique de l’élément structural se présente comme suit :
Le graphe de la température critique de l’élément structural se présente comme suit :
22.09.2025
059090
  • RFEM 6
  • RSTAB 9
  • Structures en acier
    • Conception et calcul de structure
    • Eurocode 3

KB 1988 | Graphique de la température critique de l’élément Θa,cr (axe horizontal : taux d’utilisation ; axe vertical : température critique)

Le graphe de la température critique de l’élément structural se présente comme suit :

La courbe de la température critique de l’élément structural
  • Température critique de composant
  • Analyse de résistance au feu
  • Graphique fonctionnel
Utilisé dans
  • Vérification de la résistance au feu des structures acier : Température critique des éléments
Partager