Dominio modello e computazionale
Parametri di simulazione e profilo della velocità del vento
Modello di turbolenza
Pressione residua
Distribuzione della pressione sulla superficie dell'edificio
Campo di velocità su sezione trasversale verticale
Campo di velocità sulla sezione trasversale orizzontale verticale a Z/H = 2/3
Percorso per l'estrazione
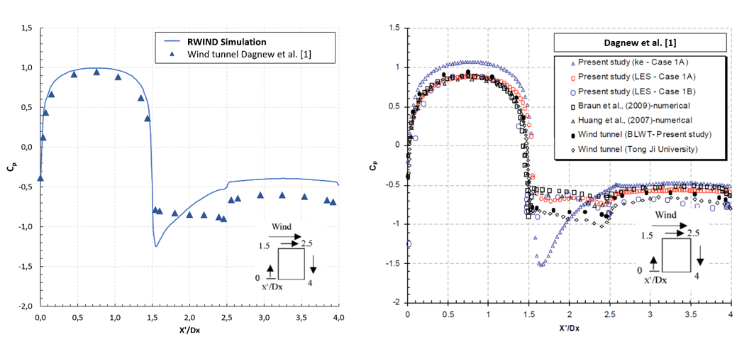
Valori dei coefficienti di pressione media cp lungo il perimetro a Z/H = 2/3. Confronto con i risultati di altri metodi numerici pubblicati in [1]
Grafico delle curve di livello della distribuzione del coefficiente di pressione cp sulla faccia sopravvento
Grafico a curve di livello della distribuzione del coefficiente di pressione cp sulla faccia sottovento
Your browser does not support the video tag.
Your browser does not support the video tag.
Your browser does not support the video tag.
Valori dei coefficienti di pressione medi cp lungo il perimetro a Z/H = 2/3 dopo il calcolo del transitorio
Dominio modello e computazionale
Parametri di simulazione e profilo della velocità del vento
Modello di turbolenza
Pressione residua
Distribuzione della pressione sulla superficie dell'edificio
Campo di velocità su sezione trasversale verticale
Campo di velocità sulla sezione trasversale orizzontale verticale a Z/H = 2/3
Percorso per l'estrazione
Valori dei coefficienti di pressione media cp lungo il perimetro a Z/H = 2/3. Confronto con i risultati di altri metodi numerici pubblicati in [1]
Grafico delle curve di livello della distribuzione del coefficiente di pressione cp sulla faccia sopravvento
Grafico a curve di livello della distribuzione del coefficiente di pressione cp sulla faccia sottovento
Your browser does not support the video tag.
Your browser does not support the video tag.
Your browser does not support the video tag.
Valori dei coefficienti di pressione medi cp lungo il perimetro a Z/H = 2/3 dopo il calcolo del transitorio
2024-05-30
008680
  • Simulazione RWIND 1
  • Edifici
  • Simulazione del vento e Generazione carico da vento

Modello e dominio computazionale

Dominio modello e computazionale

Usato in
  • Carichi del vento su un edificio alto
Condividi
2024-05-30
008681
  • Simulazione RWIND 1
  • Edifici
  • Simulazione del vento e Generazione carico da vento
Parametri di simulazione e profilo della velocità del vento
Usato in
  • Carichi del vento su un edificio alto
Condividi
2024-05-30
008682
  • Simulazione RWIND 1
  • Edifici
  • Simulazione del vento e Generazione carico da vento
Modello di turbolenza
Usato in
  • Carichi del vento su un edificio alto
Condividi
2024-05-30
008683
  • Simulazione RWIND 1
  • Edifici
  • Simulazione del vento e Generazione carico da vento
Diagramma di convergenza
Pressione residua

Usato in
  • Carichi del vento su un edificio alto
Condividi
2024-05-30
008684
  • Simulazione RWIND 1
  • Edifici
  • Simulazione del vento e Generazione carico da vento
Distribuzione della pressione sulla superficie dell'edificio
Usato in
  • Carichi del vento su un edificio alto
Condividi
2024-05-30
008685
  • Simulazione RWIND 1
  • Edifici
  • Simulazione del vento e Generazione carico da vento
Campo di velocità su sezione trasversale verticale
Usato in
  • Carichi del vento su un edificio alto
Condividi
2024-05-30
008686
  • Simulazione RWIND 1
  • Edifici
  • Simulazione del vento e Generazione carico da vento
Campo di velocità sulla sezione trasversale orizzontale verticale a Z/H = 2/3
Usato in
  • Carichi del vento su un edificio alto
Condividi
2024-05-30
008687
  • Simulazione RWIND 1
  • Edifici
  • Simulazione del vento e Generazione carico da vento
Percorso per l'estrazione
Usato in
  • Carichi del vento su un edificio alto
Condividi
2024-05-30
008688
  • Simulazione RWIND 1
  • Edifici
  • Simulazione del vento e Generazione carico da vento
Valori dei coefficienti di pressione media cp lungo il perimetro a Z/H = 2/3. Confronto con i risultati di altri metodi numerici pubblicati in [1]
Usato in
  • Carichi del vento su un edificio alto
Condividi
2024-05-30
013153
  • RFEM 5
  • RSTAB 8
Grafico delle curve di livello della distribuzione del coefficiente di pressione cp sulla faccia sopravvento
Usato in
  • Carichi del vento su un edificio alto
Condividi
2024-05-30
008689
  • Simulazione RWIND 1
  • Edifici
  • Simulazione del vento e Generazione carico da vento
    • Analisi agli elementi finiti
Grafico a curve di livello della distribuzione del coefficiente di pressione cp sulla faccia sottovento
Usato in
  • Carichi del vento su un edificio alto
Condividi
2024-05-30
036306
  • RFEM 6
  • Simulazione del vento e Generazione carico da vento
Animazione del campo del vento in sezione orizzontale a 2/3 dell'altezza dell'edificio
Usato in
  • Carichi del vento su un edificio alto
Condividi
2024-05-30
036305
  • RFEM 6
  • Simulazione del vento e Generazione carico da vento
Animazione del campo del vento in sezione verticale
Usato in
  • Carichi del vento su un edificio alto
Condividi
2024-05-30
036304
  • RFEM 6
  • Simulazione del vento e Generazione carico da vento
Animazione della distribuzione della pressione sulle superfici sopravento e sottovento dell'edificio
Usato in
  • Carichi del vento su un edificio alto
Condividi
2024-05-30
036925
  • Simulazione del vento e Generazione carico da vento
Valori dei coefficienti di pressione medi cp lungo il perimetro a Z/H = 2/3 dopo il calcolo del transitorio Confronto con i risultati del calcolo stazionario e i risultati pubblicati in [1]
Valori dei coefficienti di pressione medi cp lungo il perimetro a Z/H = 2/3 dopo il calcolo del transitorio

Usato in
  • Carichi del vento su un edificio alto
Condividi