11288x
001624
2020-02-19

Carichi del vento su un edificio alto

Il seguente studio confronta la pressione del vento su un edificio alto ottenuta da RWIND Simulation con i risultati pubblicati da Dagnew et al.all'11a conferenza americana sull'ingegneria eolica nel giugno 2009. In questo articolo, l'edificio del Commonwealth Advisory Aeronautical Council (CAARC) viene utilizzato come un modello e i risultati di diversi metodi numerici vengono confrontati con i dati sperimentali ottenuti dalle gallerie del vento.

Il programma RWIND Simulation è progettato principalmente per calcolare rapidamente i risultati anche per modelli relativamente complessi e di grandi dimensioni. Le impostazioni predefinite sono state utilizzate per un calcolo rapido, che successivamente ha richiesto solo 5 minuti su un PC standard. I risultati ottenuti sono in accordo relativamente stretto con quelli pubblicati nell'articolo [1] sopra e sono discussi più dettagliatamente di seguito.

Dominio computazionale e mesh

L'edificio CAARC è una forma prismatica rettangolare con dimensioni di 45 m per 30 m per 180 m di altezza. Le dimensioni della galleria del vento sono 1.500 m in direzione del flusso, 900 m in direzione della campata e l'altezza totale è pari a 300 m.

La mesh del volume finito è stata perfezionata localmente vicino al modello dell'edificio con il numero totale di celle della mesh a 540.180. Sebbene RWIND Simulation consenta calcoli su mesh significativamente più sottili (fino a 50 milioni di celle), per un calcolo rapido è stata selezionata una mesh relativamente ruvida.

Impostazione della simulazione

I parametri generali di simulazione e il profilo della velocità del vento in ingresso sono secondo Dagnew et al. [1] come segue.

Le condizioni al contorno del modello sono descritte nella Tabella 1.

Parametri Faccie in alto, a sinistra e a destra Ingresso Uscita Pareti dell'edificio e terreno
Velocità scorrimento Profilo della velocità del vento Gradiente zero 0 m/s
compressione Gradiente zero 0 Pa Gradiente zero Gradiente zero
Intensità turbolenza - 0.15% - -

È stato utilizzato un modello di turbolenza k-epsilon e l'intensità della turbolenza in ingresso è stata impostata allo 0.15 %.

Calcolo stazionario

Il calcolo è stato eseguito con RWIND Simulation Solver, che è relativo alla famiglia di solutori OpenFOAM-SIMPLE. È un risolutore in stato stazionario per flussi incomprimibili e turbolenti. L'intera simulazione, compresa la generazione della mesh e la preparazione dei risultati, è stata completata in 5 minuti su un PC con 8 core (Intel i9-9900K). Il criterio di convergenza della pressione residua è stato impostato su 0,001, che è il valore standard per il calcolo più rapido, ed è stato raggiunto dopo 350 iterazioni. La pressione residua minima è 0,0001 e potrebbe essere raggiunta dopo 700 iterazioni mentre si continua il calcolo. Tuttavia, i risultati non sono stati influenzati significativamente.

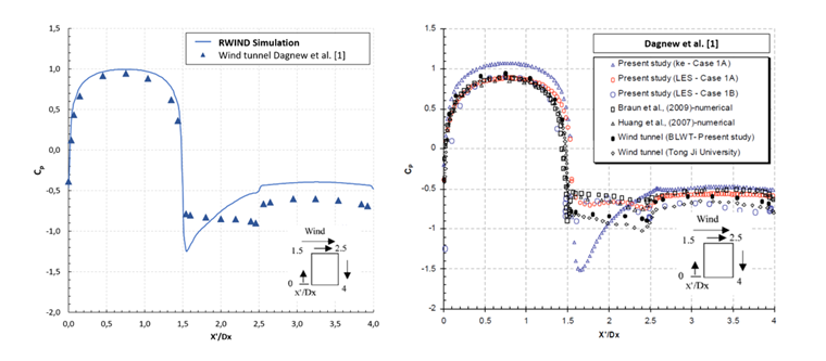
L'immagine da 05 a 07 mostra la distribuzione della pressione sulla superficie dell'edificio e il campo di velocità. A scopo di convalida e confronto, il coefficiente di pressione calcolato cp viene confrontato con i dati forniti da [1] nell'immagine 9 fino all'immagine 11. Il coefficiente cp si calcola nel modo seguente:

I risultati di RWIND Simulation e i risultati sperimentali secondo Dagnew et al. [1] sulla faccia sopravento sono in stretto confronto. [1]. Sulla parete laterale e sulle facce sottovento, si osservano differenze del 10% - 20% tra i dati misurati e calcolati, che può essere spiegato dal modello di turbolenza (k-epsilon) utilizzato e dalla mesh computazionale grossolana. La precisione del risultato può essere migliorata utilizzando modelli di turbolenza più accurati (LES), che sarà disponibile nelle versioni future di RWIND Simulation.

Risultati di RWIND Simulation

Confronto con dati e risultati da [1]

Per spiegare il diagramma sopra, si può aggiungere che l'unità dell'ascissa x'/Dx risulta dalla coordinata x effettivamente disponibile da RWIND e dalla distanza dell'asse da RWIND, che è 30 m.


Calcolo transitorio

Per strutture alte e snelle, la simulazione di un flusso transitorio è utile per considerare i possibili danni dovuti al distacco dei vortici. RWIND 2 utilizza "BlueDySolver", che è stato sviluppato dallo standard di solutore OpenFOAM® "PimpleFoam", per simulare i flussi transitori. Come parte di questa simulazione, sono state create 91 animazioni di flusso in un tempo di simulazione di 1.200 secondi con un time step di 12 secondi.

Il programma offre la possibilità di modificare questi strati temporali automaticamente e di smussare il flusso tra due strati temporali mediante interpolazione lineare in modo tale che un'animazione di flusso coerente possa essere rappresentata per l'intero tempo di simulazione. Le seguenti animazioni mostrano la distribuzione della pressione sulla superficie dell'edificio e la distribuzione della velocità intorno all'edificio, che sono state ottenute utilizzando il calcolo del transitorio.



Per confrontare i risultati del calcolo transitorio con i risultati del calcolo stazionario o con quelli di Dagnew et al. [1], per questa simulazione è stato determinato anche il coefficiente di pressione cp per il percorso di valutazione mostrato nella Figura 08. Tutti i risultati sono mostrati nel diagramma seguente.

I risultati del calcolo transitorio sulla faccia sopravento sono anche in ottimo accordo con i risultati del calcolo stazionario e con i dati dei test sperimentali in galleria del vento riportati da Dagnew et al. [1]. Sulla faccia sottovento, i risultati del flusso transitorio, in modo simile ai risultati del flusso stazionario, si discostano dai dati misurati di circa il 10-20%. Sulle facce laterali, le deviazioni dei risultati transitori sono leggermente maggiori rispetto agli altri risultati.

Da un lato, ciò può essere attribuito al fatto che il software RWIND Simulation utilizza un risolutore diverso per l'analisi transitoria rispetto alla simulazione stazionaria e, dall'altro, al continuo sviluppo e miglioramento del programma. Da questo confronto, diventa anche chiaro che il modello di turbolenza K-omega fornisce una maggiore correlazione con i risultati sperimentali rispetto al modello di turbolenza K-epsilon. Inoltre, la simulazione stazionaria è stata estesa con un calcolo secondo l'analisi del secondo ordine. Questi risultati sono mostrati anche nel diagramma sopra, ma differiscono solo leggermente dai risultati secondo l'analisi geometricamente lineare.


Autore

Andreas è responsabile dello sviluppo di RSTAB, RFEM e RWIND Simulation, nonché dell’ambito delle costruzioni a membrana. Inoltre, coordina i processi di assicurazione della qualità e supporta le questioni tecniche nell’assistenza clienti.

Link
Bibliografia
Download


;