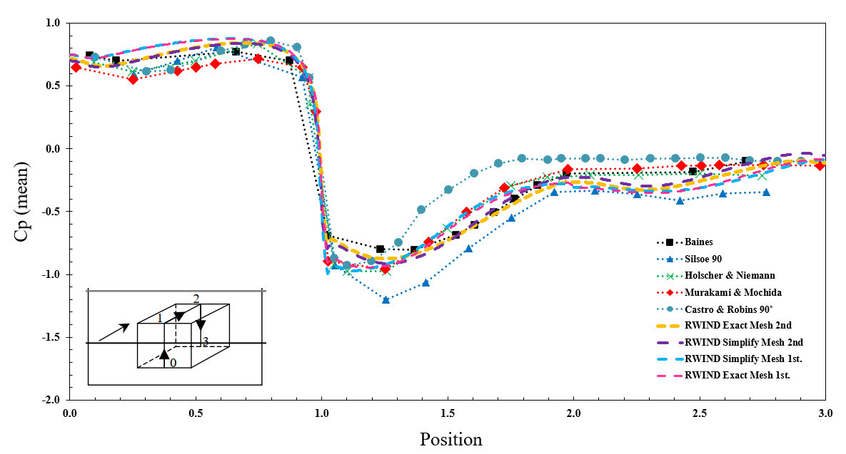
Valore Cp medio utilizzando il metodo di mesh semplificato e preciso e la discretizzazione di mesh di primo e secondo ordine
Valore Cp medio utilizzando il metodo di mesh semplificato e preciso e la discretizzazione di mesh di primo e secondo ordine
2024-11-19
046027
  • RFEM 6

Valore medio di Cp usando metodo mesh semplificato ed esatto e discretizzazione mesh di primo e secondo ordine

Valore Cp medio utilizzando il metodo di mesh semplificato e preciso e la discretizzazione di mesh di primo e secondo ordine

Usato in
  • Esecuzione di un esempio di validazione in RWIND
Condividi