1907x
001863
2023-12-19

Esecuzione di un esempio di validazione in RWIND

Creare un esempio di validazione per la fluidodinamica computazionale (CFD) è un passaggio fondamentale per garantire l’accuratezza e l’affidabilità dei risultati della simulazione. Questo processo comporta il confronto dei risultati delle simulazioni CFD con dati sperimentali o analitici provenienti da scenari reali. L’obiettivo è dimostrare che il modello CFD possa riprodurre fedelmente i fenomeni fisici che intende simulare.

Questa guida delinea i passaggi essenziali per sviluppare un esempio di validazione per una simulazione CFD, dalla selezione di un adeguato scenario fisico all'analisi e al confronto dei risultati. Seguendo meticolosamente questi passaggi, ingegneri e ricercatori possono aumentare la credibilità dei loro modelli CFD, aprendo la strada alla loro efficace applicazione in diversi campi quali l'aerodinamica, l'aerospaziale e gli studi ambientali.

La creazione di un esempio di validazione per simulazioni di fluidodinamica computazionale (CFD) in applicazioni di ingegneria del vento comporta diversi passaggi specifici, adattati alle complessità del flusso del vento e delle sue interazioni con strutture e ambienti. Ecco una guida passo per passo:

1. Definizione del problema di ingegneria del vento

  • Specificare chiaramente lo scenario di ingegneria del vento che si sta simulando, come il flusso del vento attorno a edifici, ponti o altre strutture.
  • Includere dettagli sulla topografia, sulle caratteristiche dello strato limite atmosferico e su eventuali fattori ambientali rilevanti.

2. Selezione del caso di riferimento appropriato

  • Scegliere uno studio di caso di ingegneria del vento ben documentato con dati sperimentali o di campo affidabili. Può trattarsi di prove in galleria del vento o di misurazioni in scala reale.
  • Il caso dovrebbe assomigliare strettamente al vostro scenario in termini di geometria, scala e condizioni del vento.

Per il nostro studio attuale, l'articolo scientifico [1] del Journal of Wind Engineering viene scelto come caso di riferimento. Il modello è mostrato nell'Immagine 1:

3. Sviluppo del modello CFD

  • Geometria: Creare un modello digitale della struttura e del terreno circostante. Per gli edifici, includere dettagli quali la forma, le caratteristiche della facciata e le strutture vicine.
  • Generazione della mesh: Generare una mesh che riproduca accuratamente la geometria, prestando particolare attenzione alle aree in cui si prevedono elevati gradienti di flusso, come gli angoli e i bordi delle strutture.
  • Condizioni al contorno e iniziali: Impostare condizioni al contorno che riflettano il profilo del vento (velocità e direzione) a diverse altezze, le variazioni di temperatura e le condizioni di pressione.
  • Impostazioni del solver: Selezionare solver e modelli di turbolenza appropriati (come k-ε o Large Eddy Simulation), noti per offrire buone prestazioni nelle simulazioni di ingegneria del vento.

Le ipotesi iniziali sono considerate come in Tabella 1.

Tabella 1: Rapporto dimensionale e dati di input
Velocità base del vento V 10.13 m/s
Altezza del tetto h 6 m
Dimensione orizzontale α 6 m
Angolo del tetto θroof 0 Degree
Densità dell'aria – RWIND ρ 1.25 kg/m3
Direzioni del vento θwind 0 Degree
Modello di turbolenza – RWIND Steady-State RANS k-ω SST - -
Viscosità cinematica (Equation 7.15, EN 1991-1-4) – RWIND ν 1.5*10-5 m2/s
Ordine dello schema – RWIND First and Second - -
Valore obiettivo del residuo - RWIND 10-4 - -
Tipo di residuo – RWIND Pressure - -
Numero minimo di iterazioni – RWIND 800 - -
Strato limite – RWIND NL 10 -
Tipo di funzione di parete – RWIND Standard - -

4. Esecuzione della simulazione

  • Eseguire simulazioni considerando sia analisi stazionarie sia transitorie, poiché il flusso del vento può presentare significative variazioni temporali.
  • Assicurarsi che la simulazione venga eseguita per un tempo sufficientemente lungo da catturare la dinamica del flusso rilevante attorno alle strutture.

5. Processo di validazione

  • Confronto con i dati di riferimento: confrontare i risultati della simulazione con i dati del caso di riferimento, concentrandosi su parametri quali i profili di velocità del vento, la distribuzione della pressione sulle strutture e l'intensità della turbolenza.
  • Analisi degli errori: eseguire un'analisi quantitativa per valutare le discrepanze tra la simulazione e i dati di riferimento.
  • Analisi di sensibilità: verificare come le variazioni della densità della mesh, delle condizioni al contorno e dei modelli di turbolenza influenzino i risultati.

Per l'esempio attuale, l'analisi di sensibilità è mostrata secondo l'Immagine 2. I risultati delle forze di resistenza totali sono esaminati per sei diverse dimensioni di mesh. L'indipendenza dalla mesh si ottiene a 1.6 milioni di celle (Mesh #4). In CFD, uno studio di convergenza della griglia aiuta a trovare la dimensione ottimale della mesh (Mesh #4) in cui i risultati della simulazione (ad es. la forza di resistenza) diventano indipendenti dalla mesh. L'utilizzo di una mesh eccessivamente grossolana come Mesh #1 può portare a risultati inaccurati, mentre mesh troppo fini possono introdurre errori numerici e aumentare il tempo di calcolo, come mostrato in Mesh #6 nell'Immagine 2.

Per identificare la mesh ottimale che garantisca sia l'accuratezza sia l'indipendenza dalla griglia, si raccomanda di valutare almeno tre diverse dimensioni di mesh. Quando i risultati si stabilizzano con mesh più fini, la soluzione è considerata affidabile e indipendente dalla densità della mesh. Si raccomanda inoltre di consultare riferimenti importanti come ASCE 7-22 Chapter C31 - Wind Tunnel Procedure, Yeo, D. 2020 [2], e Roache [3].

6. Documentazione

  • Documentare accuratamente la metodologia, incluse le ipotesi, le condizioni al contorno e tutte le impostazioni pertinenti.
  • Includere un confronto dettagliato dei risultati con i dati di riferimento, evidenziando sia le corrispondenze sia le discrepanze.

7. Refinamento iterativo

  • Se vi sono deviazioni significative rispetto ai dati di riferimento, perfezionare il modello. Ciò può comportare l'adeguamento della risoluzione della mesh, la modifica dei modelli di turbolenza o la revisione delle condizioni al contorno.
  • Ripetere il processo di simulazione e validazione fino a quando il modello non preveda in modo affidabile il comportamento del flusso del vento.

8. Considerazioni per le applicazioni di ingegneria del vento

  • Le simulazioni CFD per l'ingegneria del vento devono spesso tenere conto di fenomeni complessi quali distacco dei vortici, buffeting ed effetti di scia.
  • La topologia urbana, gli effetti del terreno e le condizioni di stabilità atmosferica possono influenzare significativamente il flusso del vento e devono essere inclusi nel modello quando rilevanti.

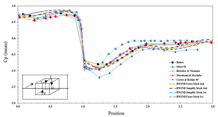
9. Risultati

Il diagramma del valore medio di Cp utilizzando una simulazione stazionaria viene eseguito per i metodi di generazione della mesh semplificata ed esatta in RWIND, nonché per i primi e secondi metodi dello schema numerico. I risultati mostrano una buona concordanza tra i metodi sperimentali e numerici in riferimento a [1]. Le Immagini 3 e 4 mostrano il valore medio di Cp lungo una linea specificata nelle direzioni verticale e orizzontale.


10. Conclusione

Questo processo di validazione è fondamentale per garantire che il modello CFD rappresenti accuratamente le complessità del flusso del vento nelle applicazioni ingegneristiche. Contribuisce a costruire fiducia nei risultati della simulazione, che possono quindi essere utilizzati per decisioni progettuali, valutazioni di sicurezza o ulteriori studi di ricerca. Il modello di validazione è disponibile per il download qui:


Autore

Mahyar è responsabile dello sviluppo del prodotto nonché del marketing di Dlubal Software, in particolare di RWIND 2. Unisce lo sviluppo tecnico all’evoluzione della comunicazione di prodotto.

Bibliografia


;