Valore medio Cp usando il metodo a rete semplificato e esatto
Valore medio Cp usando il metodo a rete semplificato e esatto
2024-11-19
046028
  • RFEM 6

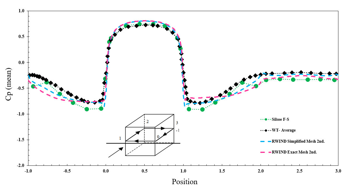
Valore Cp Medio con Metodo Rete Semplificato ed Esatto

Valore medio Cp usando il metodo a rete semplificato e esatto

Usato in
  • Esecuzione di un esempio di validazione in RWIND
Condividi