Model i domena obliczeniowa
Parametry symulacji i profil prędkości wiatru
Model turbulencji
Wykres zbieżności obliczeń
Rozkład ciśnienia na powierzchni budynku
Pole prędkości na przekroju pionowym
Pole prędkości na pionowym przekroju poziomym przy Z/H = 2/3
Ścieżka do ekstrakcji
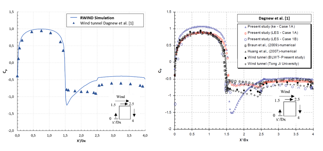
Wartości średnich współczynników ciśnienia Cp na obwodzie przy Z/H = 2/3. Porównanie z wynikami innych metod numerycznych opublikowanych w [1]
Wykres konturowy współczynnika ciśnienia Cp na powierzchni nawietrznej
Wykres konturowy współczynnika ciśnienia Cp na powierzchni od strony zawietrznej
Your browser does not support the video tag.
Your browser does not support the video tag.
Your browser does not support the video tag.
Wartości współczynników ciśnienia średniego cp wzdłuż obwodu przy Z/H = 2/3 po obliczeniach stanu nieustalonego
Model i domena obliczeniowa
Parametry symulacji i profil prędkości wiatru
Model turbulencji
Wykres zbieżności obliczeń
Rozkład ciśnienia na powierzchni budynku
Pole prędkości na przekroju pionowym
Pole prędkości na pionowym przekroju poziomym przy Z/H = 2/3
Ścieżka do ekstrakcji
Wartości średnich współczynników ciśnienia Cp na obwodzie przy Z/H = 2/3. Porównanie z wynikami innych metod numerycznych opublikowanych w [1]
Wykres konturowy współczynnika ciśnienia Cp na powierzchni nawietrznej
Wykres konturowy współczynnika ciśnienia Cp na powierzchni od strony zawietrznej
Your browser does not support the video tag.
Your browser does not support the video tag.
Your browser does not support the video tag.
Wartości współczynników ciśnienia średniego cp wzdłuż obwodu przy Z/H = 2/3 po obliczeniach stanu nieustalonego
2024-05-30
008680
  • Symulacja RWIND 1
  • Budynki
  • Symulacja przepływu wiatru i generowanie obciążenia wiatrem

Model i domena obliczeniowa

Wykorzystano w
  • Obciążenia wiatrem wysokiego budynku
Udostępnij
2024-05-30
008681
  • Symulacja RWIND 1
  • Budynki
  • Symulacja przepływu wiatru i generowanie obciążenia wiatrem
Parametry symulacji i profil prędkości wiatru
Wykorzystano w
  • Obciążenia wiatrem wysokiego budynku
Udostępnij
2024-05-30
008682
  • Symulacja RWIND 1
  • Budynki
  • Symulacja przepływu wiatru i generowanie obciążenia wiatrem
Model turbulencji
Wykorzystano w
  • Obciążenia wiatrem wysokiego budynku
Udostępnij
2024-05-30
008683
  • Symulacja RWIND 1
  • Budynki
  • Symulacja przepływu wiatru i generowanie obciążenia wiatrem
Wykres zbieżności obliczeń
Wykorzystano w
  • Obciążenia wiatrem wysokiego budynku
Udostępnij
2024-05-30
008684
  • Symulacja RWIND 1
  • Budynki
  • Symulacja przepływu wiatru i generowanie obciążenia wiatrem
Rozkład ciśnienia na powierzchni budynku
Wykorzystano w
  • Obciążenia wiatrem wysokiego budynku
Udostępnij
2024-05-30
008685
  • Symulacja RWIND 1
  • Budynki
  • Symulacja przepływu wiatru i generowanie obciążenia wiatrem
Pole prędkości na przekroju pionowym
Wykorzystano w
  • Obciążenia wiatrem wysokiego budynku
Udostępnij
2024-05-30
008686
  • Symulacja RWIND 1
  • Budynki
  • Symulacja przepływu wiatru i generowanie obciążenia wiatrem
Pole prędkości na pionowym przekroju poziomym przy Z/H = 2/3
Wykorzystano w
  • Obciążenia wiatrem wysokiego budynku
Udostępnij
2024-05-30
008687
  • Symulacja RWIND 1
  • Budynki
  • Symulacja przepływu wiatru i generowanie obciążenia wiatrem
Ścieżka do ekstrakcji
Wykorzystano w
  • Obciążenia wiatrem wysokiego budynku
Udostępnij
2024-05-30
008688
  • Symulacja RWIND 1
  • Budynki
  • Symulacja przepływu wiatru i generowanie obciążenia wiatrem
Wartości średnich współczynników ciśnienia cp wzdłuż obwodu przy Z/H = 2/3. Porównanie z wynikami innych metod numerycznych opublikowanych w [1]
Wartości średnich współczynników ciśnienia Cp na obwodzie przy Z/H = 2/3. Porównanie z wynikami innych metod numerycznych opublikowanych w [1]

Wykorzystano w
  • Obciążenia wiatrem wysokiego budynku
Udostępnij
2024-05-30
013153
  • RFEM 5
  • RSTAB 8
Wykres konturowy współczynnika ciśnienia Cp na powierzchni nawietrznej
Wykorzystano w
  • Obciążenia wiatrem wysokiego budynku
Udostępnij
2024-05-30
008689
  • Symulacja RWIND 1
  • Budynki
  • Symulacja przepływu wiatru i generowanie obciążenia wiatrem
    • Analiza metodą elementów skończonych
Wykres konturowy współczynnika ciśnienia Cp na powierzchni od strony zawietrznej
Wykorzystano w
  • Obciążenia wiatrem wysokiego budynku
Udostępnij
2024-05-30
036306
  • RFEM 6
  • Symulacja przepływu wiatru i generowanie obciążenia wiatrem
Animacja pola wiatru w przekroju poziomym na 2/3 wysokości budynku
Wykorzystano w
  • Obciążenia wiatrem wysokiego budynku
Udostępnij
2024-05-30
036305
  • RFEM 6
  • Symulacja przepływu wiatru i generowanie obciążenia wiatrem
Animacja pola wiatru w przekroju pionowym
Wykorzystano w
  • Obciążenia wiatrem wysokiego budynku
Udostępnij
2024-05-30
036304
  • RFEM 6
  • Symulacja przepływu wiatru i generowanie obciążenia wiatrem
Animacja rozkładu ciśnienia na nawietrznej i zawietrznej powierzchni budynku
Wykorzystano w
  • Obciążenia wiatrem wysokiego budynku
Udostępnij
2024-05-30
036925
  • Symulacja przepływu wiatru i generowanie obciążenia wiatrem
Wartości współczynników ciśnienia średniego cp wzdłuż obwodu przy Z/H = 2/3 po obliczeniach stanu nieustalonego Porównanie z wynikami obliczeń stacjonarnych i wynikami opublikowanymi w [1]
Wartości współczynników ciśnienia średniego cp wzdłuż obwodu przy Z/H = 2/3 po obliczeniach stanu nieustalonego

Wykorzystano w
  • Obciążenia wiatrem wysokiego budynku
Udostępnij