11288x
001624
2020-02-19

Obciążenia wiatrem wysokiego budynku

Poniższe opracowanie porównuje ciśnienie wiatru na wysoki budynek, uzyskane przez RWIND Simulation z wynikami opublikowanymi przez Dagnew et al. podczas11th Americas Conference on Wind Engineering w czerwcu 2009 r. W niniejszym artykule jako model wykorzystano budynek Commonwealth Advisory Aeronautical Council (CAARC), a wyniki kilku różnych metod numerycznych porównano z danymi eksperymentalnymi uzyskanymi z tuneli aerodynamicznych.

Program RWIND Simulation jest przeznaczony przede wszystkim do szybkiego obliczania wyników nawet w przypadku stosunkowo złożonych i dużych modeli. Domyślne ustawienia wykorzystano do szybkiego obliczenia, których przeprowadzenie zajęło tylko 5 minut na standardowym komputerze. Uzyskane wyniki są stosunkowo zbliżone do wyników opublikowanych w powyższym artykule [1] i zostały omówione bardziej szczegółowo poniżej.

Domena obliczeniowa i siatka

Budynek CAARC ma kształt graniastosłupa o podstawie prostokątnej i wymiarach 150 ft (45,72m) na 100 ft (30,48m) na 600 ft (182,88m) - wysokość. Wymiary cyfrowego tunelu aerodynamicznego wynoszą 4950 ft (ok. 1509 m) w kierunku przepływu, 3000 ft (ok. 91,5 m) w kierunku w poziomie, a całkowita wysokość wynosi 1200 ft (ok. 365,8 m).

Siatka objętościowa przestrzeni przepływu została lokalnie zagęszczona w rejonie modelu budynku, a łączna liczba komórek siatki wynosiła 540,180. Chociaż RWIND Simulation umożliwia obliczenia na znacznie większym zagęszczeniu siatki (do 50 milionów komórek) do szybkich obliczeń wybrano siatkę o stosunkowo dużych oczkach.

Ustawienia symulacji

Ogólne parametry symulacji i profil prędkości wiatru na wlocie są zgodne z Dagnew et al. [1] w następujący sposób.

Modelowe warunki brzegowe opisano w tabeli 1.

Parametry Górna, lewa i prawa płaszczyzna Wlot Wylot Ściany budynków i grunt
Prędkość poślizg profil prędkości Gradient zerowy 0 m/s
Ciśnienie Gradient zerowy 0 Pa Gradient zerowy Gradient zerowy
Intensywność turbulencji - 0,15% - -

Zastosowano model turbulencji k-epsilon, a intensywność turbulencji na wlocie ustawiono na 0,15%.

Obliczenia stacjonarne

Obliczenia przeprowadzono za pomocą Solvera RWIND Simulation, który należy do rodziny solwerów OpenFOAM - SIMPLE. Jest to solwer stanu ustalonego dla przepływu nieściśliwego, turbulentnego. Cała symulacja, w tym generowanie siatki i przygotowanie wyników, została ukończona w 5 minut na komputerze PC z 8 rdzeniami (Intel i9-9900K). Kryterium konwergencji ciśnienia rezydualnego zostało ustawione na 0,001, co jest wartością standardową dla najszybszych obliczeń i zostało osiągnięte po 350 iteracjach. Minimalne ciśnienie rezydualne wynosi 0,0001 i można je osiągnąć po 700 iteracjach podczas kontynuowania obliczeń. Jednak nie wpłynęło to znacząco na wyniki.

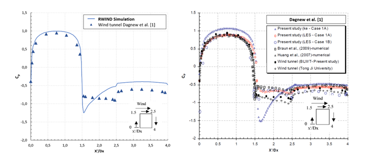
Rysunki od 5 do 7 pokazują rozkład ciśnienia na powierzchni budynku i pole prędkości. W celu weryfikacji i porównania, obliczony współczynnik ciśnienia cp jest porównywany z danymi z [1] na rysunkach 9 do 11. Współczynnik cp oblicza się w następujący sposób:

Wyniki RWIND Simulation i wyniki eksperymentalne według Dagnew et al. [1] na stronie nawietrznej. [1]. Na ścianach bocznych i zawietrznych obserwuje się 10% - 20% różnicy między wynikami obliczeniowymi a pomiarami, co można wytłumaczyć zastosowanym modelem turbulencji (k-epsilon) i siatką obliczeniową o dużych oczkach. Dokładność wyników można poprawić, stosując dokładniejsze modele turbulencji (LES), które będą dostępne w przyszłych wersjach RWIND Simulation.

Wyniki RWIND Simulation

Porównanie z danymi i wynikami z [1]

Aby wyjaśnić powyższy wykres, można dodać, że jednostka odciętej x'/Dx wynika z faktycznie dostępnej współrzędnej x z RWIND oraz z odległości osi od RWIND, która wynosi 100 ft.


Obliczenia przejściowe

W przypadku wysokich i smukłych konstrukcji, symulacja przepływu przejściowego jest przydatna w celu uwzględnienia możliwych uszkodzeń spowodowanych tworzeniem się wirów. RWIND 2 wykorzystuje "BlueDySolver", który został opracowany na podstawie standardowego solwera "PimpleFoam" OpenFOAM®, do symulacji przepływów przejściowych. W ramach tej symulacji stworzono 91 animacji przepływu w czasie 1200 sekund z krokiem 12 sekund.

Program oferuje możliwość automatycznej zmiany tych warstw czasowych i wygładzenia przepływu między dwiema warstwami czasowymi za pomocą interpolacji liniowej w taki sposób, aby spójna animacja przepływu mogła być reprezentowana przez cały czas symulacji. Poniższe animacje pokazują rozkład ciśnienia na powierzchni budynku' oraz rozkład prędkości wokół budynku, które zostały uzyskane za pomocą obliczeń przejściowych.



W celu porównania wyników obliczeń przejściowych z wynikami obliczeń stacjonarnych lub z wynikami Dagnew et al. [1], współczynnik ciśnienia cp dla ścieżki obliczeniowej pokazanej na Rysunku 08 został również wyznaczony dla tej symulacji. Wszystkie wyniki przedstawiono na poniższym wykresie.

Wyniki obliczeń niestacjonarnych na stronie nawietrznej są również bardzo zgodne z wynikami obliczeń stacjonarnych, a także z danymi z eksperymentalnego testu w tunelu aerodynamicznym, przedstawionymi przez Dagnwa i in. [1]. Na stronie zawietrznej wyniki przepływu przejściowego, podobnie jak wyniki przepływu stacjonarnego, różnią się od danych pomiarowych o około 10 do 20%. Na bocznych ścianach odchylenia wyników przejściowych są nieco większe w porównaniu z innymi wynikami.

Wynika to z jednej strony, że program RWIND Simulation używa innego solwera do analizy stanu niestacjonarnego niż do symulacji stałej, a z drugiej strony z powodu ciągłego rozwoju i doskonalenia programu. Z tego porównania wynika również, że model turbulencji K-omega zapewnia lepszą korelację z wynikami eksperymentalnymi niż model turbulencji K-epsilon. Ponadto symulacja podtrzymania została rozszerzona o obliczenia zgodnie z analizą drugiego rzędu. Wyniki te również pokazano na powyższym wykresie, ale tylko nieznacznie różnią się od wyników uzyskanych według analizy geometrycznie liniowej.


Autor

Andreas odpowiada za rozwój RSTAB, RFEM i RWIND Simulation, a także za obszar konstrukcji membranowych. Dodatkowo koordynuje procesy zapewnienia jakości i wspiera w kwestiach technicznych w obsłudze klienta.

Odnośniki
Odniesienia
Pobrane


;