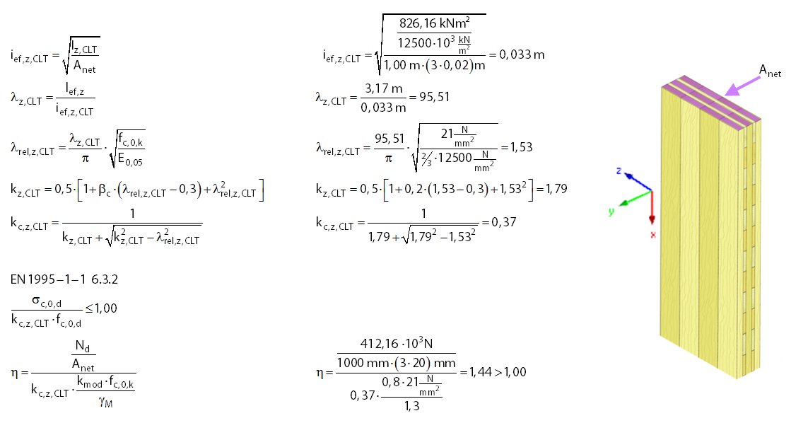
Wymiarowanie pręta równoważnego zgodnie z EN-1995-1-1, rozdział 6.3.2
Wymiarowanie pręta równoważnego zgodnie z EN-1995-1-1, rozdział 6.3.2
2024-05-30
009661
  • RFEM 5
  • RF-TIMBER Pro 5
  • RF-STABILITY 5
    • Konstrukcje drewniane
    • Analiza stateczności
    • Eurocode 5

Wymiarowanie pręta równoważnego zgodnie z EN-1995-1-1, rozdział 6.3.2

Wykorzystano w
  • Analiza stateczności dwuwymiarowych elementów konstrukcyjnych na przykładzie ściany z drewna klejonego krzyżowo 2
Udostępnij