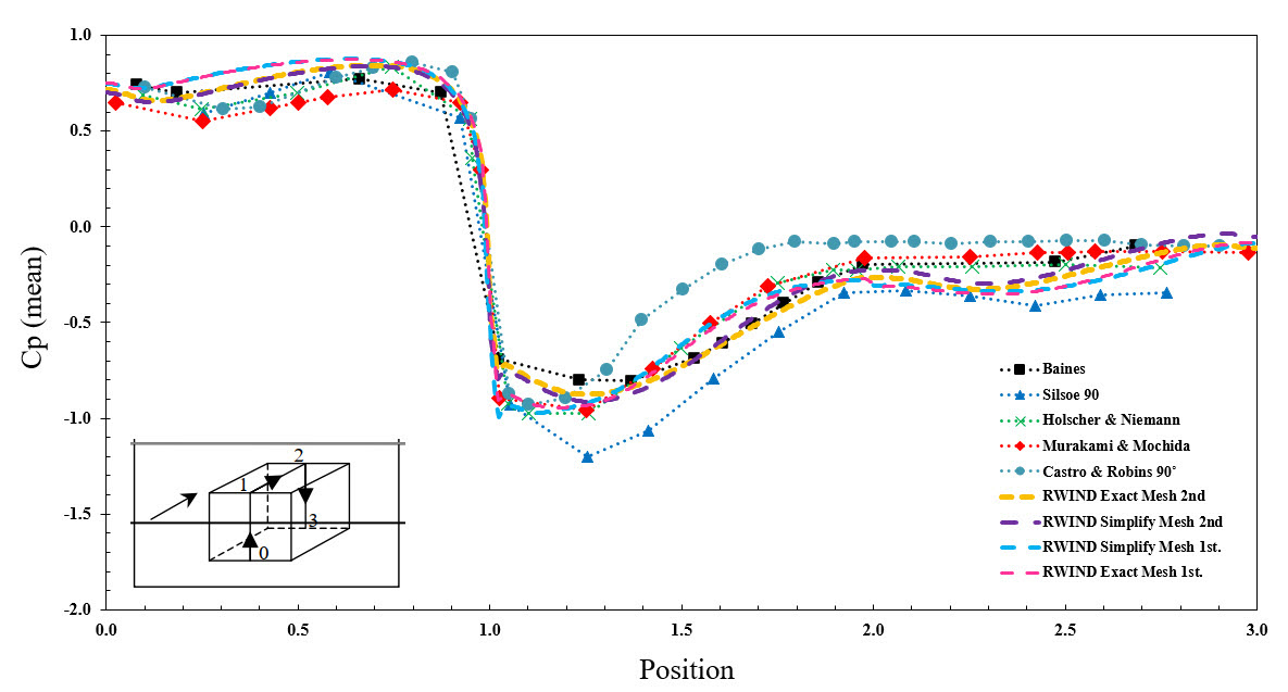
Średnia wartość Cp przy użyciu uproszczonej i dokładnej metody siatkowej oraz pierwszego i drugiego rzędu dyskretyzacji siatki
Średnia wartość Cp przy użyciu uproszczonej i dokładnej metody siatkowej oraz pierwszego i drugiego rzędu dyskretyzacji siatki
2024-11-19
046027
  • RFEM 6

Średnia wartość Cp przy użyciu uproszczonej i dokładnej metody siatki oraz dyskretyzacji siatki pierwszego i drugiego rzędu

Średnia wartość Cp przy użyciu uproszczonej i dokładnej metody siatkowej oraz pierwszego i drugiego rzędu dyskretyzacji siatki

Wykorzystano w
  • Jak wykonać przykład weryfikacyjny w programie RWIND
Udostępnij