1907x
001863
2023-12-19

Jak wykonać przykład weryfikacyjny w programie RWIND

Tworzenie przykładu walidacyjnego dla obliczeniowej mechaniki płynów (CFD) jest kluczowym krokiem w zapewnieniu dokładności i niezawodności wyników symulacji. Proces ten obejmuje porównanie wyników symulacji CFD z danymi eksperymentalnymi lub analitycznymi pochodzącymi z rzeczywistych scenariuszy. Celem jest wykazanie, że model CFD może wiernie odwzorować zjawiska fizyczne, które ma symulować.

Niniejszy przewodnik przedstawia podstawowe kroki opracowania przykładu walidacyjnego dla symulacji CFD, od wyboru odpowiedniego scenariusza fizycznego po analizę i porównanie wyników. Dzięki skrupulatnemu przestrzeganiu tych kroków inżynierowie i badacze mogą zwiększyć wiarygodność swoich modeli CFD, torując drogę do ich skutecznego zastosowania w różnych dziedzinach, takich jak aerodynamika, lotnictwo i badania środowiskowe.

Tworzenie przykładu walidacyjnego dla symulacji obliczeniowej mechaniki płynów (CFD) w zastosowaniach inżynierii wiatrowej obejmuje kilka konkretnych kroków dostosowanych do złożoności przepływu wiatru i jego oddziaływań ze strukturami oraz otoczeniem. Oto przewodnik krok po kroku:

1. Definiowanie problemu inżynierii wiatrowej

  • Jasno określ scenariusz inżynierii wiatrowej, który symulujesz, na przykład przepływ wiatru wokół budynków, mostów lub innych konstrukcji.
  • Uwzględnij szczegóły dotyczące terenu, charakterystyki atmosferycznej warstwy granicznej oraz wszelkich istotnych czynników środowiskowych.

2. Wybór odpowiedniego przypadku referencyjnego

  • Wybierz dobrze udokumentowane studium przypadku z inżynierii wiatrowej, z wiarygodnymi danymi eksperymentalnymi lub terenowymi. Mogą to być badania w tunelu aerodynamicznym lub pomiary w skali rzeczywistej.
  • Przypadek powinien jak najściślej odpowiadać Twojemu scenariuszowi pod względem geometrii, skali i warunków wiatrowych.

W naszym obecnym badaniu jako przypadek referencyjny wybrano pracę naukową [1] z Journal of Wind Engineering. Model pokazano na Rysunku 1:

3. Opracowanie modelu CFD

  • Geometria: Utwórz cyfrowy model konstrukcji i otaczającego terenu. W przypadku budynków uwzględnij takie szczegóły, jak kształt, cechy elewacji i pobliskie obiekty.
  • Meshing: Wygeneruj siatkę, która dokładnie odwzorowuje geometrię, zwracając szczególną uwagę na obszary, w których oczekuje się dużych gradientów przepływu, takie jak narożniki i krawędzie konstrukcji.
  • Warunki brzegowe i początkowe: Ustaw warunki brzegowe odzwierciedlające profil wiatru (prędkość i kierunek) na różnych wysokościach, zmiany temperatury oraz warunki ciśnienia.
  • Ustawienia solvera: Wybierz odpowiednie solvery i modele turbulencji (takie jak k-ε lub Large Eddy Simulation), które są znane z dobrych wyników w symulacjach inżynierii wiatrowej.

Początkowe założenia przedstawiono w Tabeli 1.

Tabela 1: Stosunek wymiarów i dane wejściowe
Podstawowa prędkość wiatru V 10.13 m/s
Wysokość dachu h 6 m
Wymiar poziomy α 6 m
Kąt dachu θroof 0 Degree
Gęstość powietrza – RWIND ρ 1.25 kg/m3
Kierunki wiatru θwind 0 Degree
Model turbulencji – RWIND Steady-State RANS k-ω SST - -
Lepkość kinematyczna (Równanie 7.15, EN 1991-1-4) – RWIND ν 1.5*10-5 m2/s
Porządek schematu – RWIND Pierwszy i drugi - -
Docelowa wartość residuum - RWIND 10-4 - -
Typ residuum – RWIND Ciśnienie - -
Minimalna liczba iteracji – RWIND 800 - -
Warstwa przyścienna – RWIND NL 10 - -
Typ funkcji przyściennej – RWIND Standard - -

4. Uruchomienie symulacji

  • Przeprowadź symulacje uwzględniające zarówno analizę stanu ustalonego, jak i przejściową, ponieważ przepływ wiatru może wykazywać istotne zmiany w czasie.
  • Upewnij się, że symulacja trwa wystarczająco długo, aby uchwycić istotną dynamikę przepływu wokół konstrukcji.

5. Proces walidacji

  • Porównanie z danymi referencyjnymi: Zestaw wyniki symulacji z danymi przypadku referencyjnego, koncentrując się na takich parametrach, jak profile prędkości wiatru, rozkład ciśnienia na konstrukcjach oraz intensywność turbulencji.
  • Analiza błędów: Przeprowadź analizę ilościową, aby ocenić rozbieżności między wynikami symulacji a danymi referencyjnymi.
  • Analiza wrażliwości: Sprawdź, jak zmiany gęstości siatki, warunków brzegowych i modeli turbulencji wpływają na wyniki.

Dla obecnego przykładu analiza wrażliwości została przedstawiona zgodnie z Rysunkiem 2. Wyniki całkowitych sił oporu zostały zbadane dla sześciu różnych rozmiarów siatki. Niezależność od siatki uzyskano przy 1,6 miliona komórek (Siatka #4). W CFD badanie zbieżności siatki pomaga znaleźć optymalny rozmiar siatki (Siatka #4), dla którego wyniki symulacji (np. siła oporu) stają się niezależne od siatki. Zastosowanie zbyt zgrubnej siatki, takiej jak Siatka #1, może prowadzić do niedokładnych wyników, natomiast zbyt gęste siatki mogą wprowadzać błędy numeryczne i zwiększać czas obliczeń, jak pokazano dla Siatka #6 na Rysunku 2.

Aby określić optymalną siatkę zapewniającą zarówno dokładność, jak i niezależność od siatki, zaleca się ocenę co najmniej trzech różnych rozmiarów siatki. Gdy wyniki stabilizują się przy coraz drobniejszych siatkach, rozwiązanie uznaje się za wiarygodne i niezależne od gęstości siatki. Zaleca się również zapoznanie z ważnymi odniesieniami, takimi jak ASCE 7-22 Chapter C31 - Wind Tunnel Procedure, Yeo, D. 2020 [2], oraz Roache [3].

6. Dokumentacja

  • Dokładnie udokumentuj swoją metodykę, w tym założenia, warunki brzegowe oraz wszystkie istotne ustawienia.
  • Dołącz szczegółowe porównanie wyników z danymi referencyjnymi, podkreślając zarówno zgodności, jak i rozbieżności.

7. Iteracyjne udoskonalanie

  • Jeśli występują istotne odchylenia od danych referencyjnych, udoskonal model. Może to obejmować zmianę rozdzielczości siatki, modyfikację modeli turbulencji lub korektę warunków brzegowych.
  • Powtarzaj proces symulacji i walidacji, aż model będzie wiarygodnie przewidywał zachowanie przepływu wiatru.

8. Uwagi dotyczące zastosowań w inżynierii wiatrowej

  • Symulacje CFD w inżynierii wiatrowej często muszą uwzględniać złożone zjawiska, takie jak odrywanie wirów, kołysanie wymuszone przez wiatr oraz efekty śladu aerodynamicznego.
  • Topologia miejska, wpływ terenu i warunki stateczności atmosferycznej mogą znacząco wpływać na przepływ wiatru i powinny być uwzględnione w modelu, gdy jest to istotne.

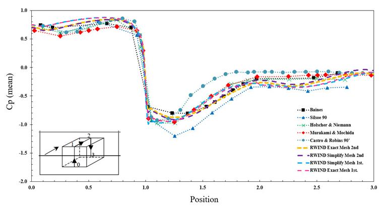
9. Wyniki

Diagram średniej wartości Cp przy użyciu symulacji stacjonarnej został wykonany dla uproszczonej i dokładnej metody generowania siatki w RWIND, a także dla pierwszej i drugiej metody schematu numerycznego. Wyniki pokazują dobrą zgodność między metodami eksperymentalnymi i numerycznymi w odniesieniu do referencji [1]. Rysunki 3 i 4 pokazują średnią wartość Cp wzdłuż określonej linii w kierunku pionowym i poziomym.


10. Wniosek

Proces walidacji ma kluczowe znaczenie dla zapewnienia, że model CFD dokładnie odzwierciedla złożoność przepływu wiatru w zastosowaniach inżynierskich. Pomaga on budować zaufanie do wyników symulacji, które mogą być następnie wykorzystane do decyzji projektowych, oceny bezpieczeństwa lub dalszych badań. Model walidacyjny jest dostępny do pobrania tutaj:


Autor

Mahyar odpowiada za rozwój produktu oraz marketing Dlubal Software, w szczególności za RWIND 2. Łączy rozwój techniczny z dalszym rozwojem komunikacji produktowej.

Odniesienia


;