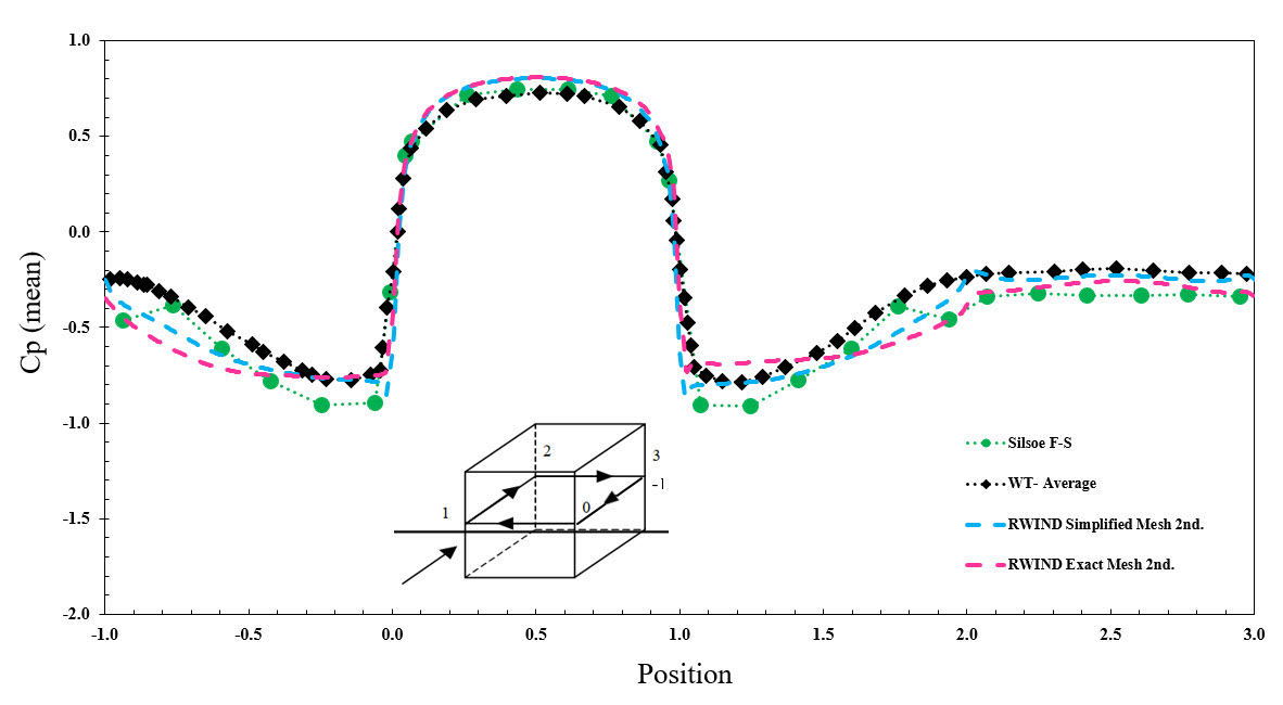
Średnia wartość Cp przy użyciu uproszczonej i dokładnej metody siatki
Średnia wartość Cp przy użyciu uproszczonej i dokładnej metody siatki
2024-11-19
046028
  • RFEM 6

Średnia wartość Cp przy użyciu uproszczonej i dokładnej metody siatki

Wykorzystano w
  • Jak wykonać przykład weryfikacyjny w programie RWIND
Udostępnij