Wykres funkcji temperatury krytycznej komponentu
Wykres funkcji temperatury krytycznej komponentu
2025-09-22
059090
  • RFEM 6
  • RSTAB 9
  • Konstrukcje stalowe
    • Analiza statyczno-wytrzymałościowa
    • Eurocode 3

KB 1988 | Wykres funkcji krytycznej temperatury elementu Θa,cr

Wykres funkcji temperatury krytycznej komponentu

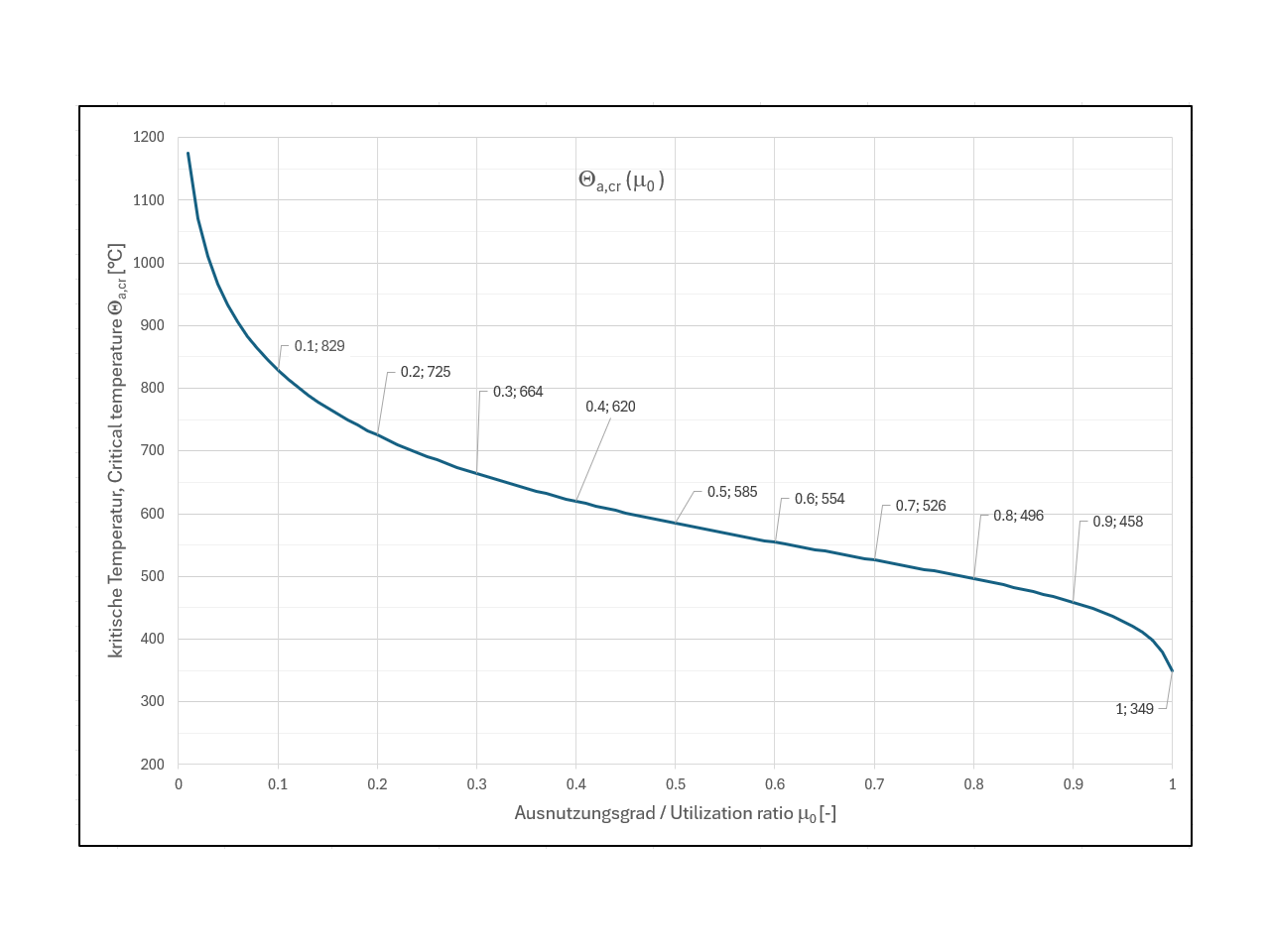
Wykres funkcji krytycznej temperatury komponentu ma następujący kształt
  • Temperatura krytyczna elementu
  • Analiza pożarowa
  • Wykres funkcji
Wykorzystano w
  • Projektowanie konstrukcji stalowych pod kątem odporności ogniowej: temperatura graniczna elementu
Udostępnij