479x
001988
2025-10-28

Projektowanie konstrukcji stalowych pod kątem odporności ogniowej: temperatura graniczna elementu

Do pokrycia powierzchni stalowych można zastosować reaktywne systemy ochrony przeciwpożarowej. W celu określenia wymaganej grubości powłoki konieczna jest znajomość krytycznej temperatury elementu.

Projektowanie odporności ogniowej

Projektowanie odporności ogniowej jest uregulowane w normie DIN EN 1993 część 1-2. Tam w rozdziale 4.2 przedstawiono „Proste metody projektowania”, które stanowią podstawę dla projektowania w RSTAB 9 i RFEM 6.
W takim wypadku na poziomie elementów konstrukcyjnych porównuje się oddziaływania z możliwościami wytrzymałościowymi. Oddziaływania ogniowe wynikające ze wzrostu temperatury są określane na podstawie krzywych temperatur (nominalne krzywe pożaru). Oddziaływania są określane przy zredukowanych współczynnikach bezpieczeństwa częściowego w wyjątkowej sytuacji obliczeniowej. Odporności są uwzględniane poprzez redukcję właściwości materiałowych z powodu podwyższonej temperatury.

Krytyczna temperatura elementu konstrukcyjnego Θa,cr

Dodatkowo do powyższych metod obliczeniowych, w EN 1993-1-2, Rozdział 4.2.4 opisano metodę obliczeniową na poziomie temperatury, opartą na krytycznej temperaturze elementu konstrukcyjnego. Jest to interesujące, gdy na stal nakładane są reaktywne systemy ochrony przeciwpożarowej i trzeba określić grubość warstw.
Krytyczna temperatura elementu konstrukcyjnego to taka temperatura, która nie może zostać przekroczona, aby badany pręt lub zbiór prętów nadal mógł wytrzymać oddziaływania. Kluczowa jest najniższa krytyczna temperatura dla każdego elementu.
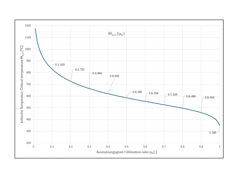
Równanie do zdefiniowania Θa,cr wygląda następująco:

Parametrem określającym krytyczną temperaturę elementu konstrukcyjnego jest stopień wykorzystania μ0, który jest stosunkiem oddziaływań pod wpływem pożaru Efi,d do odporności na początku (t = 0) pożaru Rfi,d,0. Krytyczna temperatura elementu jest zatem niezależna od projektowania odporności ogniowej, w którym odporności są określane w zależności od czasu trwania pożaru lub krzywych temperatur itp.

Wykres funkcji Θa,cr ma następujący przebieg:

Stopnie wykorzystania μ0 mogą być definiowane z metod sprawdzających sprężystych lub plastycznych.

Ograniczenia zastosowania, warunki brzegowe

Dla obliczenia krytycznej temperatury elementu konstrukcyjnego w RFEM 6 obowiązują następujące ograniczenia:

  • nie ma zastosowania, gdy decydują kryteria deformacji,
  • nie ma zastosowania, gdy należy uwzględniać wpływy stateczności,
  • stopnie wykorzystania μ0 < 0.013 nie mogą być zastosowane,
  • występują elementy o klasach przekroju 1, 2 lub 3 lub elementy rozciągane,
  • element jest równomiernie podgrzewany w całym przekroju.

Przykład obliczeniowy

Na przykładzie belki swobodnie podpartej pokażemy obliczenie krytycznej temperatury elementu dla sprawdzenia naprężeń ścinających i normalnych:

Materiał Stal S235
Rozpiętość L = 2 m
Obciążenie stałe g = 3 kN/m
Obciążenie użytkowe p = 5 kN/m
Sytuacja obliczeniowa EN 1990; GZT - Wyjątkowa - ψ2,1
Współczynniki bezpieczeństwa częściowego ψ2,1 = 0,3
Format weryfikacji sprężysty/sprężysty
Przekrój HEA 140 - DIN 1025-3
maks. Momenty statyczne maks. Sy = 86,77 cm3 (określony za pomocą RSECTION 1)
Moment inercji Iy = 1033,34 cm4 (określony za pomocą RSECTION 1)
Moment wytrzymałości Wy = 155,4 cm3
Grubość środnika tw = 0,55 cm

Sprawdzenie naprężeń ścinających:

Sprawdzenie naprężeń normalnych:

Decydująca jest minimalna krytyczna temperatura elementu:

Przykład zastosowania w RFEM 6

Aby móc przeprowadzić projektowanie odporności ogniowej w RFEM 6, w rozszerzeniu Projektowanie konstrukcji stalowych prętom należy przypisać, oprócz konfiguracji ochrony przeciwpożarowej, również konfigurację nośności jako wymóg do projektowania odporności ogniowej.
Kombinacje obciążeń w sytuacji projektowej dla projektowania odporności ogniowej są określane na podstawie wyjątkowej sytuacji obliczeniowej ψ2,1 zgodnie z EN 1990 | 2010-04.
W dołączonym modelu przykładowym prętom nr 1 i 2 przypisano konfigurację do projektowania odporności ogniowej. W podstawowym oknie dialogowym pod parametrami projektowymi wybierane jest obliczenie krytycznej temperatury elementu.

Określenie, czy w projektowaniu odporności ogniowej kontrola przekrojów prowadzona jest w sposób sprężysty czy plastyczny, ustala się w konfiguracji nośności: Zakładka 'Podstawowe|Pręty' - Opcje - Projektowanie sprężyste (także dla przekrojów klasy 1 i 2). Przy wyborze tej opcji projektuje się sprężyście, w przeciwnym razie, jeśli to możliwe, plastycznie.

Po przeprowadzeniu obliczeń projektowania stali, w szczegółach sprawdzenia obok wyników dla projektowania odporności ogniowej pojawia się również obliczenie krytycznej temperatury elementu.

Kontrola ograniczeń zastosowania w RFEM 6

Ograniczenia zastosowania dotyczące ograniczenia do klas przekroju 1 do 3 oraz ograniczenia do minimalnego stopnia wykorzystania μ0,min = 0.013 są automatycznie sprawdzane przez RFEM 6. Jeśli te ograniczenia zostaną przekroczone, pojawiają się odpowiednie ostrzeżenia.

Aby pobrać używane modele, zobacz "Modele do pobrania" poniżej na stronie lub kliknij na poniższe obrazy.


Autor

Marco zajmuje się w technicznymi zapytaniami dotyczącymi oprogramowania. Zawsze dokładnie zapoznaje się z nowymi zagadnieniami i opracowuje przemyślane rozwiązania.



;