Valores dos coeficientes de pressão médios Cp sobre o perímetro em Z/H = 2/3. Comparação com resultados de outros métodos numéricos publicados em [1]
Valores dos coeficientes de pressão médios Cp sobre o perímetro em Z/H = 2/3. Comparação com resultados de outros métodos numéricos publicados em [1]
2024-05-30
008688
  • Simulação RWIND 1
  • Edifícios
  • Simulação de vento e geração de cargas de vento

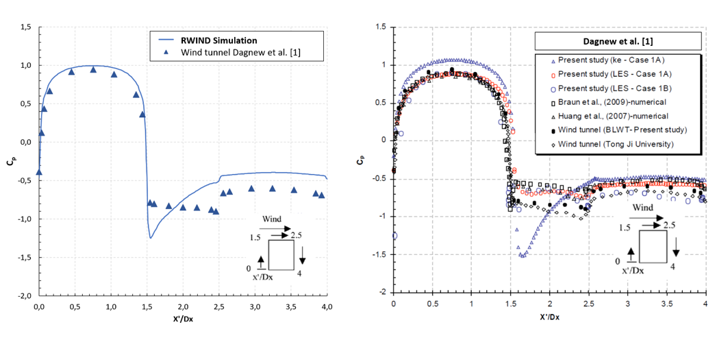
Valores dos coeficientes de pressão média cp ao longo do perímetro em Z/H = 2/3. Comparação com resultados de outros métodos numéricos publicados em [1]

Valores dos coeficientes de pressão médios Cp sobre o perímetro em Z/H = 2/3. Comparação com resultados de outros métodos numéricos publicados em [1]

Utilizado em
  • Cargas de vento num edifício alto
Partilhar