O programa RWIND Simulation foi desenvolvido principalmente para calcular rapidamente os resultados, mesmo para modelos relativamente complexos e grandes. Foram utilizadas configurações padrão para um cálculo rápido, que posteriormente levou apenas 5 minutos num PC normal. Die so ermittelten Ergebnisse stimmen relativ gut mit den veröffentlichten Ergebnissen aus dem oben erwähnten Artikel [1] überein und werden im Nachgang entsprechend erörtert.
Domínio computacional e malha
O edifício CAARC tem uma forma prismática retangular com dimensões de 150 (pés) por 100 (pés) por 600 (pés) de altura. As dimensões do túnel de vento são 4950 (pés) no sentido da corrente, 3000 (pés) na direção do vão e a altura total é igual a 1200 (pés).
A malha de volume finito foi refinada localmente perto do modelo de construção com o número total de células de malha em 540 180. Embora o RWIND Simulation permita cálculos em malhas significativamente mais finas (até 50 milhões de células), foi selecionada uma malha relativamente grossa para um cálculo mais rápido.
Configuração de simulação
Os parâmetros gerais de simulação e o perfil de velocidade do vento de entrada estão de acordo com Dagnew et al. {%>#Refer [1]]] da seguinte forma.
As condições de fronteira do modelo são descritas na Tabela 1.
| Parâmetros | Faces superior, esquerda e direita | Entrada | Saída | Construindo muros e terreno |
|---|---|---|---|---|
| Velocidade | deslizamento | Perfil de velocidade | Gradiente zero | 0 m/s |
| Pressão | Gradiente zero | 0 Pa | Gradiente zero | Gradiente zero |
| Intensidade de turbulência | - | 0,15% | - | - |
Utilizou-se o modelo de turbulência k-epsilon e a intensidade de turbulência de entrada foi definida como 0,15%.
Cálculo estacionário
O cálculo foi realizado com o RWIND Simulation Solver, que é relativo à família de solucionadores OpenFOAM - SIMPLE. Trata-se de um solucionador estacionário de equações para fluxos incompressíveis e turbulentos. Toda a simulação, incluindo a geração de malha e a preparação dos resultados, foi concluída em 5 minutos em um PC com 8 núcleos (Intel i9-9900K). O critério de convergência da pressão residual foi definido como 0,001, que é o valor padrão para o cálculo mais rápido, e foi alcançado após 350 iterações. A pressão residual mínima é de 0,0001 e pode ser alcançada após 700 iterações enquanto continua com o cálculo. No entanto, os resultados não foram afetados significativamente.
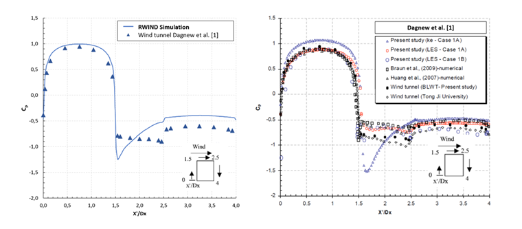
As figuras 5 a 7 mostram a distribuição de pressão na superfície do edifício e o campo de velocidade. Para fins de validação e comparação, o coeficiente de pressão calculado cp é comparado com os dados dados a partir de {%>#Refer [1]]] nas figuras 9 a 11. O coeficiente cp é calculado da seguinte forma:
|
p |
a pressão estática no ponto em que o coeficiente de pressão está a ser avaliado |
|
p∞ |
Pressão estática no fluxo livre (aqui: p∞ = 0 Pa) |
|
ρ |
a densidade do ar (aqui ρ = 1,2 kg/m³) |
|
vH |
Velocidade da corrente livre na altura do edifício (aqui: vH = 12,7 m/s) |
Os resultados do RWIND Simulation e os resultados experimentais de acordo com Dagnew et al. [1] na face de barlavento estão em estreita comparação. {%>#Refer [1]]]. Nas faces laterais e sotavento, são observadas diferenças de 10% a 20% entre os dados medidos e os calculados, o que pode ser explicado pelo modelo de turbulência (k-epsilon) utilizado e a malha computacional grosseira. A precisão do resultado pode ser melhorada usando modelos de turbulência mais precisos (LES), que estará disponível nas versões futuras do RWIND Simulation.
Resultados do RWIND Simulation
Comparação com dados e resultados de [1]
Para explicar o diagrama acima, pode-se acrescentar que a unidade do eixo de abcissas x '/Dx resulta da coordenada x realmente existente do RWIND e a distância entre centros do RWIND é de 30 m.
Cálculo transitório
Para estruturas altas e esbeltas, é útil simular um fluxo transitório (inconstante) para considerar possíveis danos causados pelo desprendimento de vórtices. O RWIND 2 utiliza o "BlueDySolver" para simular fluxos instáveis, que foi desenvolvido a partir do solucionador OpenFOAM® padrão "PimpleFoam". Como parte desta simulação, foram criadas 91 animações de fluxo durante um tempo de simulação de 1200 segundos com um intervalo de 12 segundos.
O programa oferece a possibilidade de alterar esses intervalos de tempo automaticamente e de suavizar o fluxo entre dois intervalos de tempo através de interpolação linear, de forma a que uma animação coerente do fluxo possa ser apresentada ao longo de todo o tempo de simulação. As animações a seguir representam a distribuição de pressão na superfície do edifício assim como a distribuição de velocidades em torno do edifício, as quais foram alcançadas com a ajuda do cálculo transitório.
De forma a comparar os resultados do cálculo transitório com os resultados do cálculo estacionário ou com os resultados de Dagnew et al. {%>p para o caminho de avaliação apresentado na Figura 08. O diagrama seguinte apresenta todos os resultados.
Os resultados do cálculo transitório na face de barlavento também estão em concordância muito boa com os resultados do cálculo estacionário, bem como com os dados experimentais de túnel de vento reportados por Dagnew et al. {%>#Refer [1]]]. Na superfície de sotavento, os resultados de um fluxo transitório semelhante aos do fluxo permanente, apresentam um desvio de aprox. 10 a 20% dos dados medidos. Os desvios dos resultados transitórios dos outros resultados são ligeiramente maiores nas superfícies laterais.
Por um lado, isso pode ser atribuído ao fato de o software RWIND Simulation utilizar um solucionador diferente para a análise transitória e para a simulação estacionária e, por outro lado, ao desenvolvimento e melhoria contínuos do software. Esta comparação mostra também que o modelo de turbulência K-Omega oferece uma maior concordância com os resultados experimentais do que o modelo de turbulência K-Epsilon. Além disso, a simulação estacionária foi expandida para incluir um cálculo de segunda ordem. Estes resultados também são apresentados no diagrama acima, mas diferem apenas ligeiramente dos resultados de acordo com análise geométrica linear.