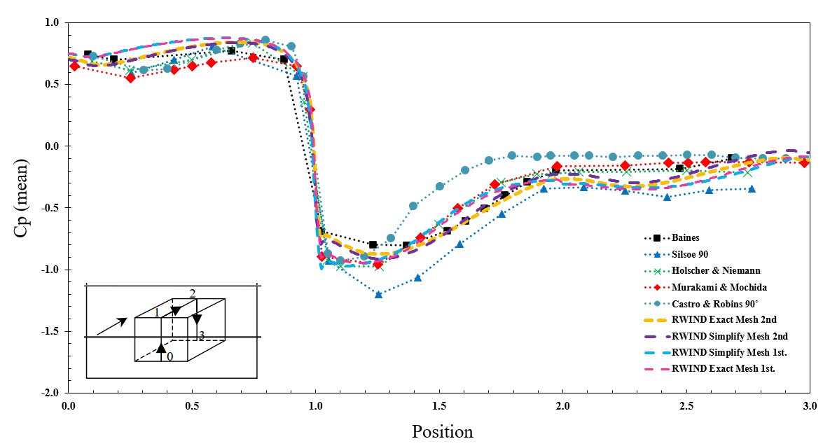
Valor Cp médio utilizando o método de malha simplificada e exata e discretização de malha de primeira e segunda ordem
Valor Cp médio utilizando o método de malha simplificada e exata e discretização de malha de primeira e segunda ordem
2024-11-19
046027
  • RFEM 6

Valor Cp médio utilizando o método de malha simplificada e exata e discretização de malha de primeira e segunda ordem

Utilizado em
  • Como realizar um exemplo de validação no RWIND
Partilhar