1816x
001863
2023-12-19

Como realizar um exemplo de validação no RWIND

Criar um exemplo de validação para dinâmica de fluidos computacional (CFD) é um passo importante para garantir a precisão e a confiabilidade dos resultados da simulação. Este processo envolve a comparação dos resultados das simulações de CFD com dados experimentais ou analíticos de cenários do mundo real. O objetivo é estabelecer que o modelo CFD consegue reproduzir fielmente os fenômenos físicos a que se propõe simular.

Este guia destaca os passos essenciais no desenvolvimento de um exemplo de validação para a simulação de CFD, desde a seleção de um cenário físico adequado até à análise e comparação dos resultados. Seguindo meticulosamente esses passos, os engenheiros e os investigadores podem melhorar a credibilidade dos seus modelos de CFD, abrindo caminho para sua aplicação eficaz em diversos campos, como aerodinâmica, aeroespacial e estudos ambientais.

Criar um exemplo de validação para simulações de dinâmica de fluidos computacional (CFD) em aplicações de engenharia de vento envolve vários passos específicos adaptados às complexidades do fluxo de vento e às suas interações com as estruturas e ambientes. Aqui está um guia passo a passo:

1. Definição do Problema de Engenharia de Vento

  • Especifique de forma clara o cenário de engenharia de vento que está a simular, como o fluxo de vento ao redor de edifícios, pontes ou outras estruturas.
  • Inclua detalhes sobre o terreno, características da camada limite atmosférica e quaisquer fatores ambientais relevantes.

2. Seleção de Caso de Referência Apropriado

  • Escolha um caso de estudo de engenharia de vento bem documentado, com dados experimentais ou de campo confiáveis. Isso pode incluir testes em túnel de vento ou medições em escala real.
  • O caso deve-se assemelhar ao seu cenário em termos de geometria, escala e condições de vento.

Para o nosso estudo atual, é escolhido o artigo científico [1] do Journal of Wind Engineering como caso de referência. O modelo é apresentado na Imagem 1:

3. Desenvolvimento do Modelo de CFD

  • Geometria: Crie um modelo digital da estrutura e do terreno envolvente. Para edifícios, inclua detalhes como forma, características da fachada e estruturas próximas.
  • Malha: Gere uma malha que represente a geometria com precisão, prestando atenção especial às áreas onde se esperam gradientes de fluxo elevados, como cantos e bordas das estruturas.
  • Condições de Contorno e Iniciais: Defina as condições de contorno que reflitam o perfil de vento (velocidade e direção) a diferentes alturas, variações de temperatura e condições de pressão.
  • Configurações do Solucionador: Selecione solucionadores e modelos de turbulência adequados (como k-ε ou Large Eddy Simulation) conhecidos por ter um bom desempenho em simulações de engenharia de vento.

As suposições iniciais são consideradas como na Tabela 1.

Tabela 1: Relação Dimensional e Dados de Entrada
Velocidade Básica do Vento V 10,13 m/s
Altura do Telhado h 6 m
Dimensão Horizontal α 6 m
Ângulo do Telhado θroof 0 Grau
Densidade do Ar – RWIND ρ 1,25 kg/m3
Direções do Vento θwind 0 Grau
Modelo de Turbulência – RWIND RANS k-ω SST em Estado Estacionário - -
Viscosidade Cinemática (Equação 7.15, EN 1991-1-4) – RWIND ν 1,5*10-5 m2/s
Ordem do Esquema – RWIND Primeira e Segunda - -
Valor Residual Alvo - RWIND 10-4 - -
Tipo de Residual – RWIND Pressão - -
Número Mínimo de Iterações – RWIND 800 - -
Camada Limite – RWIND NL 10 -
Tipo de Função da Parede – RWIND Aprimorada / Combinada - -

4. Execução da Simulação

  • Realize simulações considerando análises tanto em estado estacionário quanto transitório, já que o fluxo de vento pode ter variações temporais significativas.
  • Assegure-se de que a simulação seja executada por tempo suficiente para capturar a dinâmica relevante do fluxo ao redor das estruturas.

5. Processo de Validação

  • Comparar com Dados de Referência: Contraste os seus resultados de simulação com os dados do caso de referência, focando-se nos parâmetros como perfis de velocidade do vento, distribuição de pressão nas estruturas e intensidade de turbulência.
  • Análise de Erro: Realize análise quantitativa para avaliar discrepâncias entre a sua simulação e os dados de referência.
  • Análise de Sensibilidade: Teste como é que alterações na densidade da malha, condições de contorno e modelos de turbulência afetam os seus resultados.

Para o exemplo atual, a análise de sensibilidade é apresentada de acordo com a Imagem 2. Os resultados das forças de arrasto total são investigados para seis tamanhos diferentes de malha. A independência da malha é obtida com 1,6 milhões de células (Malha #4). Em CFD, um estudo de convergência da malha ajuda a encontrar o tamanho ótimo de malha (Malha #4) onde os resultados da simulação (por exemplo, força de arrasto) se tornam independentes da malha. Usar uma malha excessivamente grossa como a Malha #1 pode levar a resultados imprecisos, enquanto malhas excessivamente finas podem introduzir erros numéricos e aumentar o tempo de computação, conforme mostrado na Malha #6 da Imagem 2.

Para identificar a malha ideal que garante tanto precisão quanto independência da malha, recomenda-se avaliar pelo menos três tamanhos de malha diferentes. Quando os resultados se estabilizam com malhas mais finas, a solução é considerada confiável e independente da densidade da malha. Também é recomendado avaliar referências importantes como ASCE 7-22 Capítulo C31 - Procedimento de Túnel de Vento, Yeo, D. 2020 [2], e Roache [3].

6. Documentação

  • Documente a sua metodologia de forma minuciosa, incluindo as suposições, condições de contorno e todas as configurações relevantes.
  • Inclua uma comparação detalhada dos seus resultados com os dados de referência, destacando tanto as convergências quanto discrepâncias.

7. Refinamento Iterativo

  • Se houver desvios significativos dos dados de referência, refine o seu modelo. Isso pode envolver ajustar o tamanho da malha, modificar modelos de turbulência ou avaliar as condições de contorno.
  • Repita o processo de simulação e validação até que o modelo preveja de forma confiável o comportamento do fluxo de vento.

8. Considerações para Aplicações da Engenharia de Vento

  • Simulações de engenharia de vento em CFD frequentemente precisam considerar fenômenos complexos como desprendimento de vórtices, turbulência e efeitos de esteira.
  • A topologia urbana, efeitos de terreno e condições de estabilidade atmosférica podem influenciar significativamente o fluxo de vento e devem ser incluídos no modelo quando relevantes.

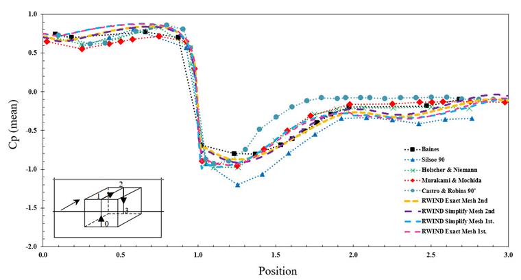
9. Resultados

O diagrama do valor médio de Cp utilizando simulação estacionária é realizado para os métodos de geração de malha simplificados e exatos no RWIND, bem como os métodos de primeira e segunda ordem do esquema numérico. Os resultados mostram um boa concordância entre os métodos experimentais e numéricos em relação à referência [1]. As Imagens 3 e 4 apresentam o valor médio de Cp através de uma linha especificada nas direções vertical e horizontal.


10. Conclusão

Este processo de validação é crucial para garantir que o seu modelo de CFD representa com precisão as complexidades do fluxo de vento em aplicações de engenharia. Ajuda a construir a confiança nos resultados da simulação, que então podem ser usados para decisões de dimensionamento, avaliações de segurança ou estudos de pesquisa adicionais. O modelo de validação encontra-se disponível para download aqui:


Autor

Mahyar é responsável pelo desenvolvimento de produtos, bem como pelo marketing da Dlubal Software, em particular do RWIND 2. Ele combina o desenvolvimento técnico com o aperfeiçoamento da comunicação do produto.

Referências


;