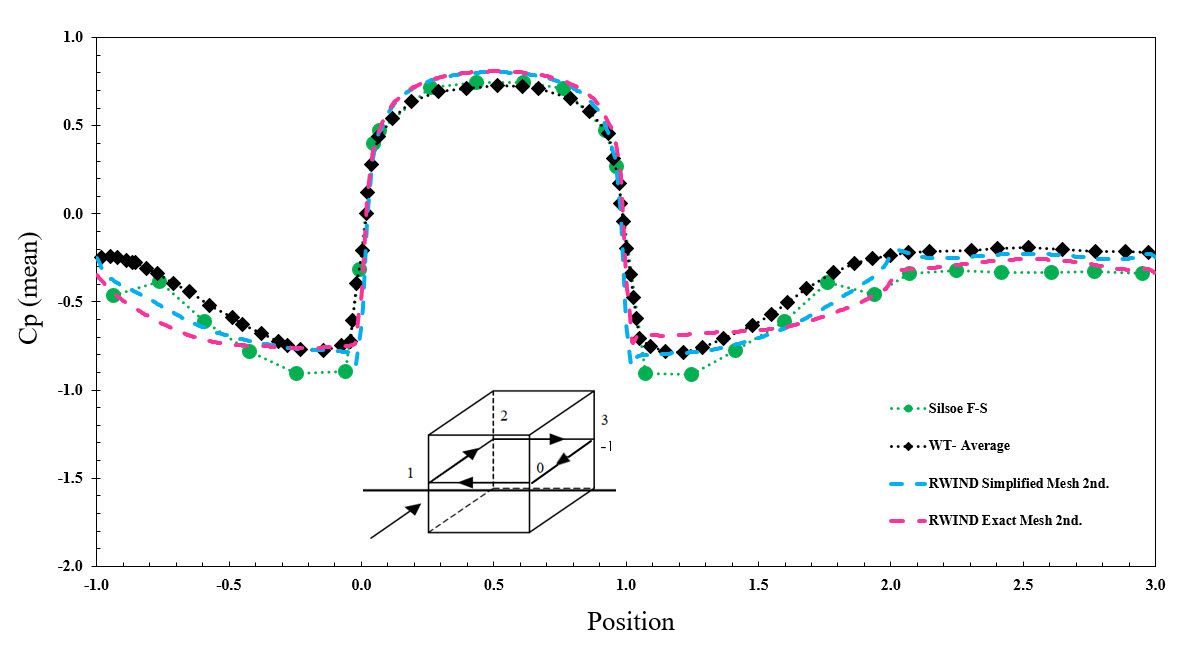
Valor Cp médio utilizando o método de malha simplificada e exata
Valor Cp médio utilizando o método de malha simplificada e exata
2024-11-19
046028
  • RFEM 6

Valor Cp médio utilizando o método de malha simplificada e exata

Utilizado em
  • Como realizar um exemplo de validação no RWIND
Partilhar