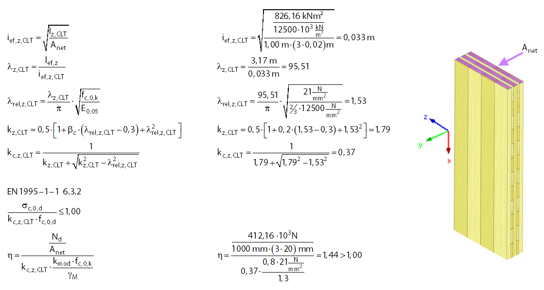
Расчет эквивалентного стержня по норме EN-1995-1-1, раздел 6.3.2
Расчет эквивалентного стержня по норме EN-1995-1-1, раздел 6.3.2
2024-05-30
009661
  • RFEM 5
  • RF-TIMBER Pro 5
  • RF-STABILITY 5
    • Деревянные конструкции
    • Расчёт на устойчивость
    • Eurocode 5

Расчет эквивалентного стержня по норме EN-1995-1-1, раздел 6.3.2

Используется в
  • Расчет на устойчивость двумерных конструктивных элементов на примере стены из поперечно-клееной древесины 2
Поделиться