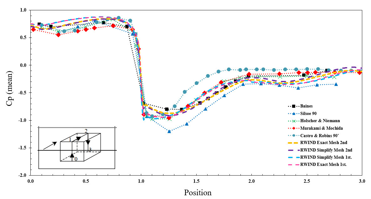
Среднее значение Cp с использованием упрощенного и точного методов сетки, а также первой и второй порядков дискретизации сетки
Среднее значение Cp с использованием упрощенного и точного методов сетки, а также первой и второй порядков дискретизации сетки
2024-11-19
046027
  • RFEM 6

Среднее значение Cp с использованием упрощенного и точного метода сетки и первого и второго порядка дискретизации сетки

Среднее значение Cp с использованием упрощенного и точного методов сетки, а также первой и второй порядков дискретизации сетки

Используется в
  • Проверка примера в RWIND
Поделиться