1823x
001863
2023-12-19

Проверка примера в RWIND

Создание примера валидации для вычислительной гидродинамики (CFD) является важным шагом для обеспечения точности и надежности результатов моделирования. Этот процесс включает сравнение результатов CFD-моделирования с экспериментальными или аналитическими данными из реальных сценариев. Цель состоит в том, чтобы установить, что CFD-модель может точно воспроизводить физические явления, которые она предназначена моделировать.

Это руководство описывает основные шаги в разработке примера валидации для CFD моделирования, начиная с выбора подходящего физического сценария до анализа и сравнения результатов. Тщательно следуя этим шагам, инженеры и исследователи могут повысить достоверность своих CFD моделей, открывая путь для их эффективного применения в различных областях, таких как аэродинамика, аэрокосмическая отрасль и экологические исследования.

Создание примера валидации для моделирования вычислительной гидродинамики (CFD) в приложениях ветротехнической инженерии включает несколько специфических шагов, адаптированных к сложностям воздушного потока и его взаимодействиям с конструкциями и окружающей средой. Вот пошаговое руководство:

1. Определение задачи в ветротехнической инженерии

  • Четко обозначьте ветротехнический сценарий, который вы моделируете, например, воздушный поток вокруг зданий, мостов или других конструкций.
  • Включите детали о местности, характеристиках атмосферного пограничного слоя и любых релевантных экологических факторах.

2. Выбор подходящего эталонного случая

  • Выберите хорошо задокументированное исследование ветротехнической инженерии с надежными экспериментальными или полевыми данными. Это могут быть испытания в аэродинамической трубе или измерения в полном масштабе.
  • Случай должен точно соответствовать вашему сценарию с точки зрения геометрии, масштаба и условий ветра.

Для нашего текущего исследования в качестве эталонного случая выбрана научная статья [1] из Journal of Wind Engineering. Модель показана на Изображении 1:

3. Разработка CFD-модели

  • Геометрия: Создайте цифровую модель конструкции и окружающей местности. Для зданий включите такие детали, как форма, элементы фасада и расположенные вблизи структуры.
  • Создание сетки: Создайте сетку, которая точно передает геометрию, уделяя особое внимание областям, где ожидаются высокие градиенты потока, например углам и краям конструкций.
  • Граничные и начальные условия: Установите граничные условия, которые отражают профиль ветра (скорость и направление) на разных высотах, изменения температуры и условия давления.
  • Настройки решателя: Выберите подходящие решатели и модели турбулентности (такие как k-ε или Large Eddy Simulation), которые хорошо себя зарекомендовали в симуляциях ветротехнической инженерии.

Начальные предположения приведены в таблице 1.

Таблица 1: Размерное соотношение и входные данные
Основная скорость ветра V 10.13 м/с
Высота крыши h 6 м
Горизонтальное измерение α 6 м
Угол наклона крыши θroof 0 Градус
Плотность воздуха – RWIND ρ 1.25 кг/м3
Направления ветра θwind 0 Градус
Модель турбулентности – RWIND Steady-State RANS k-ω SST - -
Кинематическая вязкость (Уравнение 7.15, EN 1991-1-4) – RWIND ν 1.5*10-5 м2
Порядок схемы – RWIND Первый и второй - -
Целевое значение остатка - RWIND 10-4 - -
Тип остатка – RWIND Давление - -
Минимальное количество итераций – RWIND 800 - -
Пограничный слой – RWIND NL 10 -
Тип функции стены – RWIND Улучшенная / Смешанная - -

4. Проведение симуляции

  • Проведите симуляции с учетом как стационарного, так и переходного анализов, так как воздушный поток может иметь значительные временные вариации.
  • Убедитесь, что симуляция длится достаточно долго для захвата релевантной динамики потока вокруг конструкций.

5. Процесс валидации

  • Сравнение с эталонными данными: Сопоставьте результаты симуляции с данными эталонного случая, сосредоточив внимание на таких параметрах, как профили скорости ветра, распределение давления на конструкциях и интенсивность турбулентности.
  • Анализ ошибок: Проведите количественный анализ для оценки расхождений между вашей симуляцией и эталонными данными.
  • Анализ чувствительности: Проверьте, как изменения плотности сетки, граничных условий и моделей турбулентности влияют на ваши результаты.

Для текущего примера анализ чувствительности представлен в соответствии с Изображением 2. Исследуются результаты общих сил лобового сопротивления для шести различных размеров сетки. Независимость от сетки была получена при 1,6 миллиона ячеек (Mesh #4). В CFD исследование сходимости сетки помогает найти оптимальный размер сетки (Mesh #4), при котором результаты моделирования (например, сила лобового сопротивления) становятся независимыми от сетки. Использование слишком грубой сетки, как Mesh #1, может привести к неточным результатам, а слишком мелкие сетки могут ввести численные ошибки и увеличить время вычислений, как показано на Mesh #6 на Изображении 2.

Чтобы определить оптимальную сетку, которая обеспечивает как точность, так и независимость от сетки, рекомендуется оценить как минимум три различных размера сетки. Когда результаты стабилизируются с более мелкими сетками, решение считается надежным и независимым от плотности сетки. Также рекомендуется ознакомиться с важными ссылками, такими как ASCE 7-22 Chapter C31 - Wind Tunnel Procedure, Yeo, D. 2020 [2], и Roache [3].

6. Документация

  • Тщательно задокументируйте свою методологию, включая предположения, граничные условия и все релевантные настройки.
  • Включите детальное сравнение ваших результатов с эталонными данными, выделяя как совпадения, так и расхождения.

7. Итеративное уточнение

  • Если есть значительные отклонения от эталонных данных, уточните вашу модель. Это может включать в себя корректировку разрешения сетки, модификацию моделей турбулентности или пересмотр граничных условий.
  • Повторяйте процесс симуляции и валидации до тех пор, пока модель надежно не предсказывает поведение воздушного потока.

8. Рассмотрения для приложений в ветротехнической инженерии

  • CFD моделирование в ветротехнической инженерии часто требует учета сложных явлений, таких как срыв вихрей, баффетинг и эффекты вихревой дорожки.
  • Городская топология, эффекты местности и условия атмосферной стабильности могут существенно влиять на воздушный поток и должны быть включены в модель, когда это уместно.

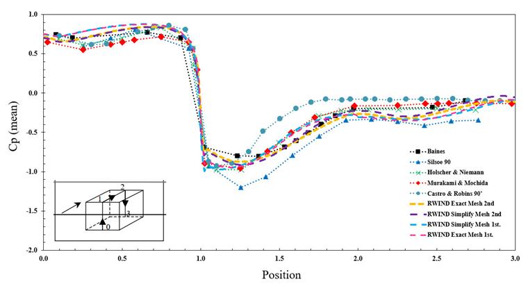
9. Результаты

Диаграмма среднего значения Cp с использованием стационарного моделирования выполнена для упрощенных и точных методов генерации сетки в RWIND, а также для первого и второго методов численной схемы. Результаты показывают хорошее согласие между экспериментальными и численными методами в отношении ссылки [1]. Изображения 3 и 4 показывают среднее значение Cp по заданной линии в вертикальном и горизонтальном направлениях.

10. Заключение

Этот процесс валидации является решающим для обеспечения того, чтобы ваша CFD модель точно представляла сложность воздушного потока в инженерных приложениях. Это помогает повысить доверие к результатам симуляции, которые затем могут быть использованы для принятия проектных решений, оценки безопасности или дальнейших исследовательских исследований. Модель валидации доступна для скачивания здесь:


Автор

Махьяр отвечает за разработку продуктов, а также за маркетинг Dlubal Software, в частности за RWIND 2. Он сочетает техническую разработку с дальнейшим развитием коммуникации продукта.

Ссылки


;