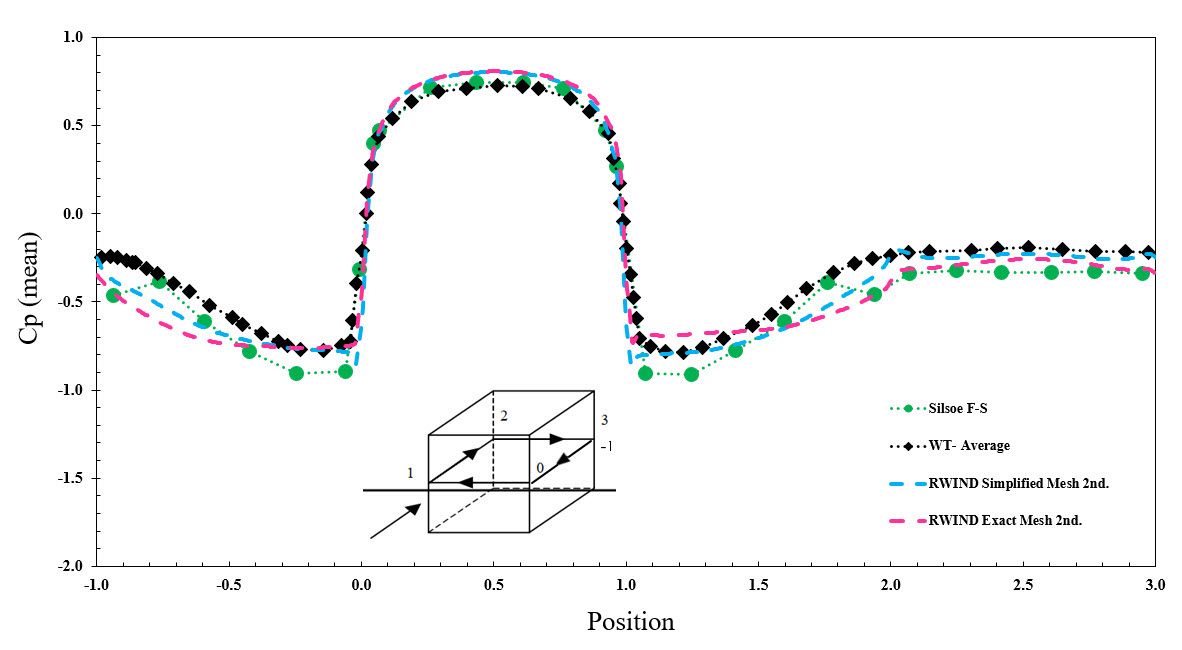
Среднее значение Cp с использованием упрощенного и точного метода сетки
Среднее значение Cp с использованием упрощенного и точного метода сетки
2024-11-19
046028
  • RFEM 6

Среднее значение Cp с использованием упрощенного и точного метода разбиения сетки

Среднее значение Cp с использованием упрощенного и точного метода сетки

Используется в
  • Проверка примера в RWIND
Поделиться