График функции температуры критического компонента показывает следующее
График функции температуры критического компонента показывает следующее
2025-09-22
059090
  • RFEM 6
  • RSTAB 9
  • Стальные конструкции
    • Расчёт и проектирование конструкций
    • Eurocode 3

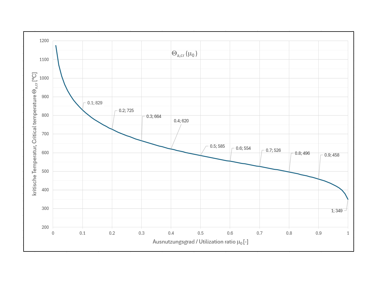
KB 1988 | График функции критической температуры компонента Θa,cr

График функции температуры критического компонента показывает следующее

График критической температуры компонента
  • Критическая температура элемента
  • Расчёт на пожар
  • Функциональный график
Используется в
  • Расчёт стальных конструкций при пожаре: Критическая температура элемента
Поделиться