479x
001988
2025-10-28

Расчёт стальных конструкций при пожаре: Критическая температура элемента

Для покрытия стальных поверхностей могут быть нанесены реактивные противопожарные системы. Для определения необходимой толщины слоя требуется знание критической температуры элемента.

Расчет на пожаростойкость

Расчет на пожаростойкость регулируется в DIN EN 1993 Часть 1-2. В разделе 4.2 представлены "Простые методы расчета", которые являются основой для расчетов в RSTAB 9 и RFEM 6. В этом процессе на уровне элементов конструкции воздействие противопоставляется допустимой нагрузке. Воздействие пожара, связанное с повышением температуры, определяется на основе температурных кривых (номинальные пожарные кривые). Воздействия рассчитываются при сниженных коэффициентах частичной безопасности при особой ситуации проектирования. Сопротивление учитывается путем снижения характеристик материала из-за повышенной температуры.

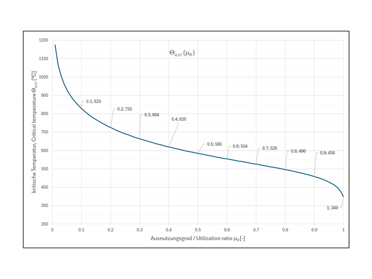
Критическая температура элемента Θa,cr

Кроме вышеупомянутого метода проверки, в EN 1993-1-2, раздел 4.2.4, описан метод проверки на температурном уровне, основанный на критической температуре элемента. Это становится актуальным, когда реактивные системы защиты от пожара наносятся на сталь, и необходимо определить их толщину. Критическая температура элемента – это максимальная температура, при которой исследуемый стержень или набор стержней все еще может выдерживать нагрузки. Определяющим является наименьшее критическое значение температуры для каждого элемента. Уравнение для определения Θa,cr выглядит следующим образом:

Параметром для определения критической температуры элемента является коэффициент использования μ0, который представляет собой отношение между воздействиями при пожаре Efi,d и сопротивлениями в начале (t = 0) пожара Rfi,d,0. Таким образом, критическая температура элемента не зависит от расчета на пожар, при котором сопротивления определяются в зависимости от продолжительности пожара или температурных кривых и т.д.

График функции Θa,cr выглядит следующим образом:

Коэффициенты использования μ0 можно определять с помощью упругих или пластических методов проверки.

Ограничения применения, Граничное условие

Для расчета критической температуры элемента в RFEM 6 действуют следующие ограничения:

  • не применимо, если определяющим является критерий деформации,
  • не применимо, если необходимо учитывать влияние устойчивости,
  • Коэффициенты использования μ0 < 0.013 не допускаются.
  • Рассматриваются элементы сечений классов 1, 2 или 3 или элементы, подверженные натяжению.
  • Элемент нагревается равномерно по всему сечению.

Пример расчета

На примере однопролетной балки показан расчет критической температуры элемента для проверки на сдвиговые и нормальные напряжения:

Материал Сталь S235
Пролет L = 2 м
Постоянная нагрузка g = 3 кН/м
Переменная нагрузка p = 5 кН/м
Ситуация проектирования EN 1990; ПСГ - Особая - ψ2,1
Коэффициенты частичной безопасности ψ2,1 = 0,3
Формат проверки упругое/упругое
Сечение HEA 140 - DIN 1025-3
Макс. статический момент max. Sy = 86,77 см3 (определено с помощью RSECTION 1)
Момент инерции Iy = 1033,34 см4 (определено с помощью RSECTION 1)
Момент сопротивления Wy = 155,4 см3
Толщина стенки tw = 0,55 см

Проверка на сдвиг:

Проверка на нормальное напряжение:

Определяющим является минимальная критическая температура элемента:

Пример применения в RFEM 6

Чтобы провести расчет на пожаростойкость в RFEM 6, дополнительную конфигурацию несущей способности необходимо присвоить стержням, подлежащим расчету, с учетом конфигурации противопожарной защиты как условия для расчета на пожаростойкость. Комбинации нагрузок в ситуации проектирования для расчета на пожаростойкость определяются на основе особой ситуации проектирования ψ2,1 в соответствии с EN 1990 | 2010-04. В прилагаемой модели конфигурация для расчета на пожаростойкость назначается стержням № 1 и 2. В основном диалоге под параметрами конструкции выбирается расчет критической температуры элемента.

Выбор, будут ли проводиться проверки сечения в расчете на пожаростойкость упругим или пластическим способом, осуществляется в конфигурации несущей способности: вкладка "Основные|Стержни" - Опции - Упругий расчет (даже для сечений классов 1 и 2). При выборе этой опции проверка будет упругой, в противном случае, если возможно, проводится пластический расчет.

После завершения расчета несущей способности в деталях проверки помимо результатов расчета на пожаростойкость появляется расчет критической температуры элемента.

Проверка ограничений применения в RFEM 6

Ограничения применения относительно сечений классов 1 до 3, а также ограничения на минимальный коэффициент использования μ0,min = 0.013 автоматически проверяются в RFEM 6. При превышении этих границ выдаются соответствующие уведомления.

Для загрузки использованных моделей смотрите "Модели для загрузки" внизу страницы или нажмите на следующие изображения.


Автор

Марко обрабатывает в службе поддержки клиентов технические запросы, связанные с программным обеспечением. Он надежно вникает в новые темы и разрабатывает структурированные пути решения.



;