模型和计算领域
模拟参数和风速曲线
湍流模型
收敛图
建筑面上的压力分布
垂直截面上的速度场
在Z/H = 2/3的垂直水平截面上的速度场
提取路径
沿周长的平均压力系数cp在Z/H = 2/3时。与发表在[1]中的其他数值方法的结果比较
压力系数cp分布的等高线图
背压面上cp分布的等高线图
Your browser does not support the video tag.
Your browser does not support the video tag.
Your browser does not support the video tag.
Z/H = 2/3 处沿周长的平均压力系数 cp 瞬态计算后的值
模型和计算领域
模拟参数和风速曲线
湍流模型
收敛图
建筑面上的压力分布
垂直截面上的速度场
在Z/H = 2/3的垂直水平截面上的速度场
提取路径
沿周长的平均压力系数cp在Z/H = 2/3时。与发表在[1]中的其他数值方法的结果比较
压力系数cp分布的等高线图
背压面上cp分布的等高线图
Your browser does not support the video tag.
Your browser does not support the video tag.
Your browser does not support the video tag.
Z/H = 2/3 处沿周长的平均压力系数 cp 瞬态计算后的值
2024-05-30
008680
  • RWIND 模拟 1
  • 建筑结构
  • 风洞模拟 & 风荷载定义

模型和计算域

模型和计算领域

用于
  • 高层建筑风荷载
分享
2024-05-30
008681
  • RWIND 模拟 1
  • 建筑结构
  • 风洞模拟 & 风荷载定义
模拟参数和风速曲线
用于
  • 高层建筑风荷载
分享
2024-05-30
008682
  • RWIND 模拟 1
  • 建筑结构
  • 风洞模拟 & 风荷载定义
湍流模型
用于
  • 高层建筑风荷载
分享
2024-05-30
008683
  • RWIND 模拟 1
  • 建筑结构
  • 风洞模拟 & 风荷载定义
收敛图
用于
  • 高层建筑风荷载
分享
2024-05-30
008684
  • RWIND 模拟 1
  • 建筑结构
  • 风洞模拟 & 风荷载定义
建筑面上的压力分布
用于
  • 高层建筑风荷载
分享
2024-05-30
008685
  • RWIND 模拟 1
  • 建筑结构
  • 风洞模拟 & 风荷载定义
垂直截面上的速度场
用于
  • 高层建筑风荷载
分享
2024-05-30
008686
  • RWIND 模拟 1
  • 建筑结构
  • 风洞模拟 & 风荷载定义
在Z/H = 2/3的垂直水平截面上的速度场
用于
  • 高层建筑风荷载
分享
2024-05-30
008687
  • RWIND 模拟 1
  • 建筑结构
  • 风洞模拟 & 风荷载定义
评估路径
提取路径

用于
  • 高层建筑风荷载
分享
2024-05-30
008688
  • RWIND 模拟 1
  • 建筑结构
  • 风洞模拟 & 风荷载定义
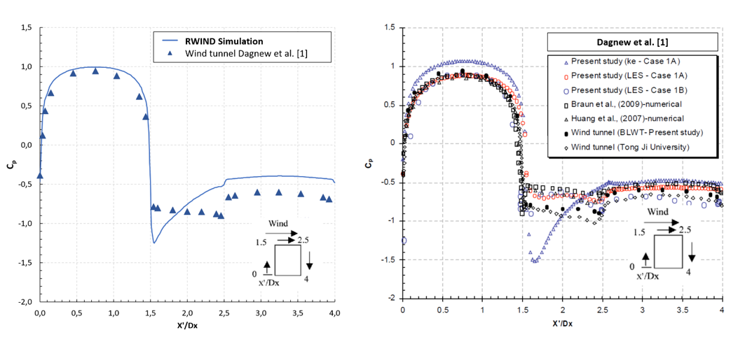
沿周长的平均压力系数cp在Z/H = 2/3时。 与发表在[1]中的其他数值方法的结果比较
沿周长的平均压力系数cp在Z/H = 2/3时。与发表在[1]中的其他数值方法的结果比较

用于
  • 高层建筑风荷载
分享
2024-05-30
013153
  • RFEM 5
  • RSTAB 8
压力系数cp分布的等高线图
用于
  • 高层建筑风荷载
分享
2024-05-30
008689
  • RWIND 模拟 1
  • 建筑结构
  • 风洞模拟 & 风荷载定义
    • 有限元分析
背压面上cp分布的等高线图
用于
  • 高层建筑风荷载
分享
2024-05-30
036306
  • RFEM 6
  • 风洞模拟 & 风荷载定义
2/3建筑高度水平截面风场动画
用于
  • 高层建筑风荷载
分享
2024-05-30
036305
  • RFEM 6
  • 风洞模拟 & 风荷载定义
垂直截面的风场动画
用于
  • 高层建筑风荷载
分享
2024-05-30
036304
  • RFEM 6
  • 风洞模拟 & 风荷载定义
建筑物迎风面和背风面压力分布的动画分析
用于
  • 高层建筑风荷载
分享
2024-05-30
036925
  • 风洞模拟 & 风荷载定义
Z/H = 2/3 处沿周长的平均压力系数 cp 瞬态计算后的值 与[1]中发表的稳态计算结果和结果的比较
Z/H = 2/3 处沿周长的平均压力系数 cp 瞬态计算后的值

用于
  • 高层建筑风荷载
分享