11083x
001624
2020-02-19

高层建筑风荷载

以下是对通过 RWIND Simulation 获得的高层建筑上的风压与 Dagnew 等人发表的结果进行比较。 Shanghai in the 11th Americas Conference on Wind Engineering in 6. 该论文中以英联邦咨询航空委员会 (CAARC) 的建筑物为模型,将不同数值方法的结果与风洞中的实验数据进行了比较。

RWIND Simulation程序的设计目的主要是为了即使对于相对复杂和大型的模型也可以快速地进行结果计算。 为了快速计算,我们使用默认设置,在一台标准 PC 上只需 5 分钟。 Die so ermittelten Ergebnisse stimmen relativ gut mit den veröffentlichten Ergebnissen aus dem oben erwähnten Artikel [1] überein und werden im Nachgang entsprechend erörtert.

计算域和网格

CAARC 大楼是一个长方体,尺寸为 150 米,高度为 100 米,高度为 60 米。 风洞尺寸为沿风干方向 4950 米,沿翼展方向 3000 米,总高度为 1200 米。

在建筑模型附近进行了有限体积网格的细化,网格单元的总数为 540,180。 虽然 RWIND Simulation 允许计算更细化的网格, (多达 5000 万个单元),为了快速计算可以选择相对粗糙的网格。

模拟设置

模拟的一般参数和入口风速剖面采用 Dagnew 等人的方法。 [1] 。

模型边界条件如表1所示。

参数 的顶面、左侧面和右侧面 入口 出口 建筑墙体和地面
速度 滑移 速度剖面 零梯度 0 米/秒
压强 零梯度 0帕 零梯度 零梯度
湍流强度 - 0.15% - -

湍流模型使用 k‑epsilon,入口处的湍流强度设置为 0.15%。

稳态计算

计算使用的 RWIND Simulation 求解器是 OpenFOAM-SIMPLE 求解器的家族成员之一。 是求解不可压缩湍流的稳态求解器。 在一台八核电脑 (Intel i9‑9900K) 上,整个仿真过程在 5 分钟内完成,包括网格生成和结果准备。 残余压力的收敛准则设为 0.001,这是为了计算最快的收敛速度,并且在迭代 350 次后达到收敛。 最小残余压力为 0.0001,该值在迭代 700 次后同时继续计算。 但这并没有对结果造成太大影响。

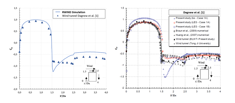
图05至图07显示了建筑物表面的压力分布和速度场。 为了验证和比较,将计算出的压力系数 cp与图 9 到图 11 中给出的数据进行比较。 系数 cp计算如下:

RWIND 模拟结果和实验结果按照 Dagnew 等人的方法。 [1] 迎风面的 。 [1]。 在墙面上和背风面上,测量值和计算值之间会有 10% - 20% 的误差。 这可以通过使用的湍流模型(k-epsilon)和计算网格来解释。 通过使用更精确的湍流模型(LES)可以提高结果的精度, 它将在未来版本的 RWIND Simulation 中提供。

RWIND Simulation 结果

[1] 的数据和结果比较

为了解释上图,需要补充的是,横坐标的单位 x'/Dx 是根据 RWIND 实际可用的 x 坐标和 RWIND 轴上的距离(100 米)得出的。


瞬态计算

对于高大和细长的结构,对结构的瞬态流模拟是非常有用的,这样可以避免由于湍流造成的破坏。 RWIND 2使用由OpenFOAM®标准求解器“ PimpleFoam”发展而来的“ BlueDySolver”来模拟瞬态流动。 在12秒的模拟时间和12秒的时间步内创建了91个流动画。

程序提供了可以自动更改这些时间层,并通过线性插值法在两个时间层之间平滑流动,以便在整个模拟时间内可以显示连贯的流动画。 下面的动画显示了建筑物表面的压力分布和建筑物周围的速度分布,它们是通过瞬态计算获得的。



为了将瞬态计算的结果与稳态计算结果或与 Dagnew 等人的结果进行比较。 ],图08中显示的评估路径的压力系数p p也被确定。 下图显示了所有计算结果。

迎风面瞬态计算的结果与稳态计算的结果以及 Dagnew 等人报告的实验性风洞测试数据非常一致。 [1]。 在背风面,瞬态流的计算结果与稳态流计算结果相似,只是与测量值相差大约 10% 到 20%。 在侧面,瞬态结果的偏差略大于其他结果。

一方面,这是因为软件 RWIND Simulation 对瞬态分析使用的求解器与稳态模拟不同,另一方面,这是因为软件 RWIND Simulation 一直在进行开发和改进。 从上面的比较中可以看出,与实验结果的相关性大于 K-ε 湍流模型。 此外,稳态模拟还按照二阶效应理论进行了计算。 这些结果也显示在上图中,但与几何线性分析的结果略有不同。


作者

Niemeier 先生负责 RFEM、RSTAB、RWIND Simulation 以及膜结构领域的开发。 他还负责质量保证和客户支持。

链接
参考
下载


;