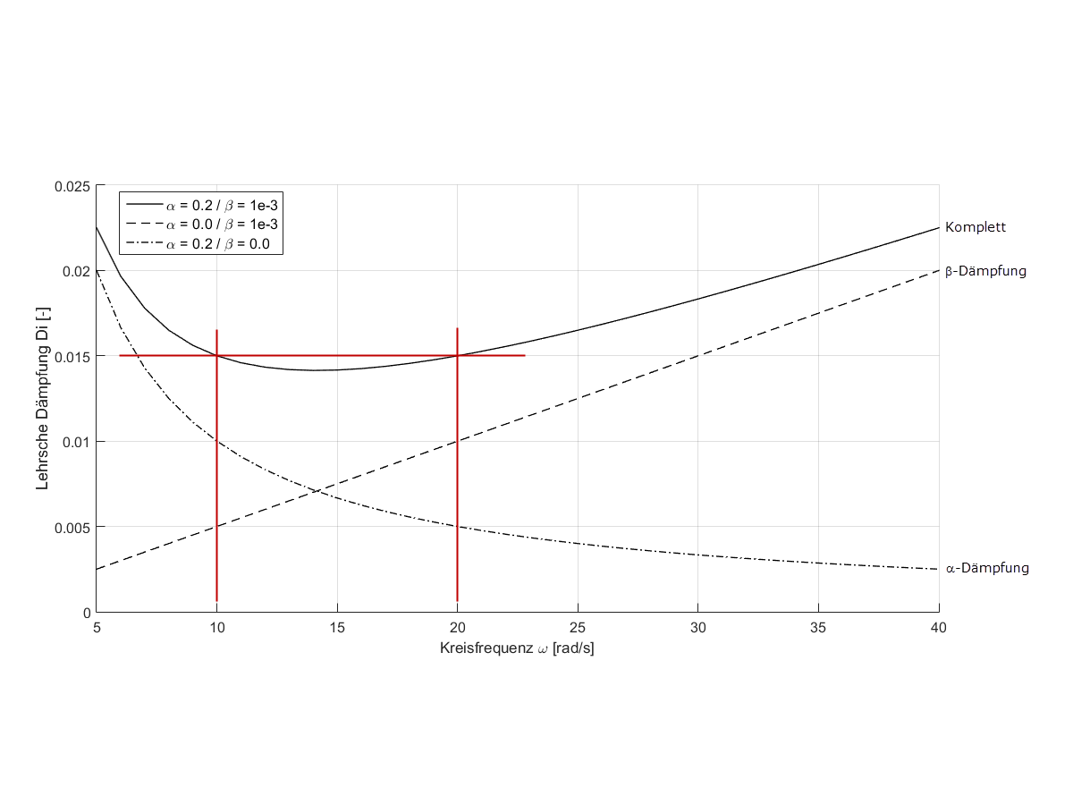
Rayleigh系数与Rayleigh系数的关系
Rayleigh系数与Rayleigh系数的关系
2024-05-30
018202
  • RFEM 5
  • RSTAB 8
  • DYNAM Pro | 非线性时程 8
    • RF-DYNAM Pro | 强迫振动5
    • RF-DYNAM Pro | 非线性时程5
    • 动力和地震分析
    • 非线性动力分析

Rayleigh系数与Rayleigh系数的关系

用于
  • Rayleigh 阻尼
分享