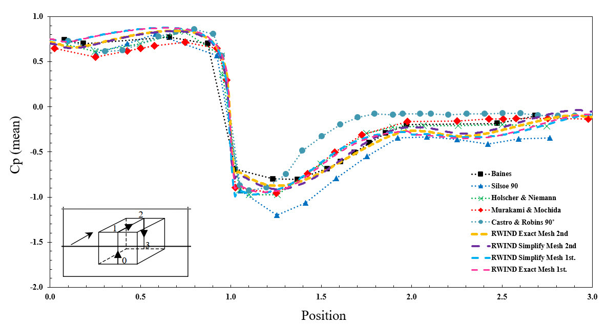
平均Cp值使用简化和精确网格方法及一阶和二阶网格离散化
平均Cp值使用简化和精确网格方法及一阶和二阶网格离散化
2024-11-19
046027
  • RFEM 6

简化与精确网格方法下的平均Cp值及一阶与二阶网格离散化

平均Cp值使用简化和精确网格方法及一阶和二阶网格离散化

用于
  • 如何在 RWIND 中进行验证示例
分享