1907x
001863
2023-12-19

如何在 RWIND 中进行验证示例

创建计算流体动力学(CFD)验证示例是确保仿真结果准确性和可靠性的关键步骤。此过程涉及将CFD仿真的结果与真实场景中的实验数据或解析数据进行比较。其目标是证明CFD模型能够忠实地再现其所要模拟的物理现象。

Dieser Leitfaden beschreibt die wesentlichen Schritte zur Entwicklung eines Validierungsbeispiels für CFD-Simulationen – von der Auswahl eines geeigneten physikalischen Szenarios bis hin zur Analyse und zum Vergleich der Ergebnisse. Durch die sorgfältige Befolgung dieser Schritte können Ingenieure und Forschende die Glaubwürdigkeit ihrer CFD-Modelle erhöhen und damit den Weg für deren wirksame Anwendung in unterschiedlichen Bereichen wie Aerodynamik, Luft- und Raumfahrt sowie Umweltstudien ebnen.

Die Erstellung eines Validierungsbeispiels für Simulationen der Strömungsmechanik (CFD) im Windingenieurwesen umfasst mehrere spezifische Schritte, die auf die Komplexität der Windströmung und deren Wechselwirkungen mit Bauwerken und Umgebungen zugeschnitten sind. Nachfolgend finden Sie eine Schritt-für-Schritt-Anleitung:

1. Definition des Windengineering-Problems

  • Legen Sie das zu simulierende Windengineering-Szenario klar fest, z. B. die Windströmung um Gebäude, Brücken oder andere Bauwerke.
  • Fügen Sie Angaben zum Gelände, zu den Eigenschaften der atmosphärischen Grenzschicht und zu allen relevanten Umgebungsfaktoren hinzu.

2. Auswahl eines geeigneten Benchmark-Falls

  • Wählen Sie eine gut dokumentierte Fallstudie aus dem Windengineering mit zuverlässigen experimentellen oder Felddaten. Dies können Windkanalversuche oder Vollmaßstabsmessungen sein.
  • Der Fall sollte Ihrem Szenario hinsichtlich Geometrie, Maßstab und Windbedingungen möglichst ähnlich sein.

Für unsere aktuelle Studie wurde die wissenschaftliche Arbeit [1] aus dem Journal of Wind Engineering als Benchmark-Fall ausgewählt. Das Modell ist in Bild 1 dargestellt:

3. Entwicklung des CFD-Modells

  • Geometrie: Erstellen Sie ein digitales Modell der Struktur und des umliegenden Geländes. Bei Gebäuden sollten Details wie Form, Fassadenelemente und benachbarte Strukturen berücksichtigt werden.
  • Vernetzung: Erzeugen Sie ein Netz, das die Geometrie genau erfasst, und achten Sie besonders auf Bereiche, in denen starke Strömungsgradienten zu erwarten sind, z. B. an Ecken und Kanten von Bauwerken.
  • Rand- und Anfangsbedingungen: Legen Sie Randbedingungen fest, die das Windprofil (Geschwindigkeit und Richtung) in unterschiedlichen Höhen, Temperaturschwankungen und Druckbedingungen widerspiegeln.
  • Löser-Einstellungen: Wählen Sie geeignete Löser und Turbulenzmodelle (z. B. k-ε oder Large Eddy Simulation), die in Windengineering-Simulationen erfahrungsgemäß gute Ergebnisse liefern.

Die anfänglichen Annahmen sind in Tabelle 1 dargestellt.

Tabelle 1: Dimensionsverhältnis und Eingangsdaten
Grundwindgeschwindigkeit V 10.13 m/s
Dachhöhe h 6 m
Horizontale Abmessung α 6 m
Dachwinkel θroof 0 Grad
Luftdichte – RWIND ρ 1.25 kg/m3
Windrichtungen θwind 0 Grad
Turbulenzmodell – RWIND Steady-State RANS k-ω SST - -
Kinematische Viskosität (Gleichung 7.15, EN 1991-1-4) – RWIND ν 1.5*10-5 m2/s
Schemareihenfolge – RWIND Erste und Zweite - -
Residualzielwert – RWIND 10-4 - -
Residualtyp – RWIND Druck - -
Mindestanzahl an Iterationen – RWIND 800 - -
Grenzschicht – RWIND NL 10 - -
Typ der Wandfunktion – RWIND Standard - -

4. Durchführung der Simulation

  • Führen Sie sowohl stationäre als auch instationäre Analysen durch, da die Windströmung erhebliche zeitliche Schwankungen aufweisen kann.
  • Stellen Sie sicher, dass die Simulation lange genug läuft, um die relevanten Strömungsphänomene um die Bauwerke zu erfassen.

5. Validierungsprozess

  • Vergleich mit Benchmark-Daten: Vergleichen Sie Ihre Simulationsergebnisse mit den Daten des Benchmark-Falls und konzentrieren Sie sich dabei auf Parameter wie Windgeschwindigkeitsprofile, Druckverteilung auf Bauwerken und Turbulenzintensität.
  • Fehleranalyse: Führen Sie eine quantitative Analyse durch, um Abweichungen zwischen Ihrer Simulation und den Benchmark-Daten zu bewerten.
  • Sensitivitätsanalyse: Untersuchen Sie, wie sich Änderungen der Netzdichte, der Randbedingungen und der Turbulenzmodelle auf Ihre Ergebnisse auswirken.

Für das aktuelle Beispiel ist die Sensitivitätsanalyse gemäß Bild 2 dargestellt. Die Ergebnisse der gesamten Widerstandskräfte werden für sechs verschiedene Netzgrößen untersucht. Die Netzunabhängigkeit wird bei 1,6 Millionen Zellen (Mesh #4) erreicht. In der CFD hilft eine Gitterkonvergenzstudie dabei, die optimale Netzgröße (Mesh #4) zu finden, bei der die Simulationsergebnisse (z. B. die Widerstandskraft) netzunabhängig werden. Die Verwendung eines zu groben Netzes wie Mesh #1 kann zu ungenauen Ergebnissen führen, während zu feine Netze numerische Fehler verursachen und die Rechenzeit erhöhen können, wie in Mesh #6 in Bild 2 gezeigt.

Um das optimale Netz zu bestimmen, das sowohl Genauigkeit als auch Gitterunabhängigkeit gewährleistet, wird empfohlen, mindestens drei verschiedene Netzgrößen zu bewerten. Wenn sich die Ergebnisse bei feineren Netzen stabilisieren, gilt die Lösung als zuverlässig und unabhängig von der Netzdichte. Es wird außerdem empfohlen, wichtige Referenzen wie ASCE 7-22 Chapter C31 - Wind Tunnel Procedure, Yeo, D. 2020 [2], und Roache [3] zu prüfen.

6. Dokumentation

  • Dokumentieren Sie Ihre Methodik umfassend, einschließlich der Annahmen, Randbedingungen und aller relevanten Einstellungen.
  • Fügen Sie einen detaillierten Vergleich Ihrer Ergebnisse mit den Benchmark-Daten hinzu und heben Sie dabei sowohl Übereinstimmungen als auch Abweichungen hervor.

7. Iterative Verfeinerung

  • Wenn es erhebliche Abweichungen von den Benchmark-Daten gibt, verfeinern Sie Ihr Modell. Dies kann die Anpassung der Netzauflösung, die Modifikation von Turbulenzmodellen oder die Überarbeitung von Randbedingungen umfassen.
  • Wiederholen Sie den Simulations- und Validierungsprozess, bis das Modell das Windströmungsverhalten zuverlässig vorhersagt.

8. Überlegungen für Windengineering-Anwendungen

  • CFD-Simulationen im Windengineering müssen häufig komplexe Phänomene wie Wirbelablösung, Böenlasten und Nachlaufeffekte berücksichtigen.
  • Urbane Topologie, Geländeeinflüsse und Bedingungen der atmosphärischen Stabilität können die Windströmung erheblich beeinflussen und sollten im Modell berücksichtigt werden, wenn dies relevant ist.

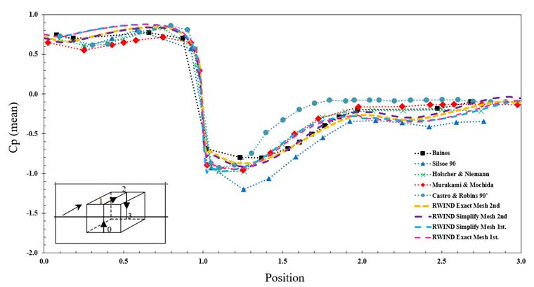
9. Ergebnisse

Das Diagramm des mittleren Cp-Werts aus der stationären Simulation wurde für die vereinfachten und exakten Netzerzeugungsmethoden in RWIND sowie für die erste und zweite Methode des numerischen Schemas erstellt. Die Ergebnisse zeigen eine gute Übereinstimmung zwischen den experimentellen und numerischen Methoden in Bezug auf die Referenz [1]. Bilder 3 und 4 zeigen den mittleren Cp-Wert entlang einer definierten Linie in vertikaler und horizontaler Richtung.


10. Schlussfolgerung

Dieser Validierungsprozess ist entscheidend, um sicherzustellen, dass Ihr CFD-Modell die Komplexität der Windströmung in technischen Anwendungen genau abbildet. Er trägt dazu bei, das Vertrauen in die Simulationsergebnisse zu stärken, die anschließend für Entwurfsentscheidungen, Sicherheitsbewertungen oder weitere Forschungsarbeiten verwendet werden können. Das Validierungsmodell kann hier heruntergeladen werden:


作者

Mahyar 负责 Dlubal Software 的产品开发以及市场营销,尤其是 RWIND 2。他将技术开发与产品传播的进一步发展相结合。

参考


;