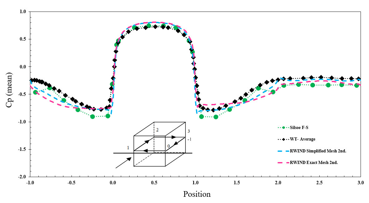
简化与准确网格法的平均Cp值
简化与准确网格法的平均Cp值
2024-11-19
046028
  • RFEM 6

使用简化和精确网格方法的平均Cp值

简化与准确网格法的平均Cp值

用于
  • 如何在 RWIND 中进行验证示例
分享