临界组件温度的函数图
临界组件温度的函数图
2025-09-22
059090
  • RFEM 6
  • RSTAB 9
  • 钢结构
    • 结构分析与设计
    • Eurocode 3

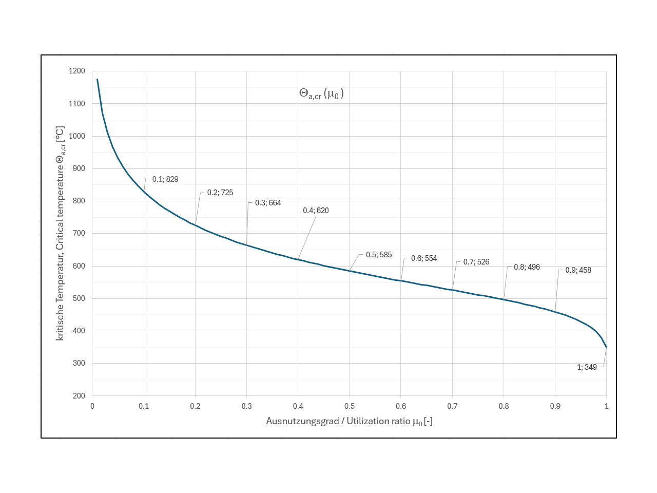
KB 1988 | 临界构件温度 ϴa,cr 的函数图

临界组件温度的函数图

临界构件温度的函数图
  • 关键构件温度
  • 抗火设计
  • 功能图
用于
  • 钢结构防火设计: 构件临界温度
分享