153x
000310
2025-06-03

VE0310 | Тест атмосферного пограничного слоя с шероховатой поверхностью

Описание

Этот пример основан на тесте атмосферного пограничного слоя (APL) из документа немецкой WTG: Информационный лист Комитета 3 - Численное моделирование ветровых потоков, Глава 9.1 (см. ссылки). Это расширение примера VE0309 - Тест атмосферного пограничного слоя.

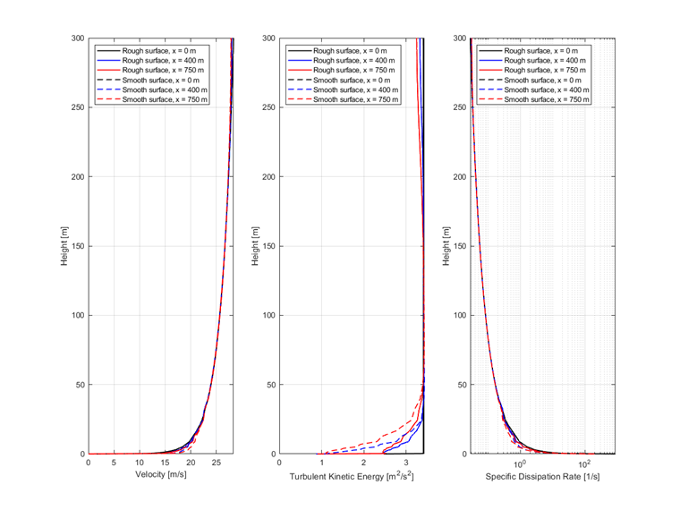
В данном случае на нижней стенке используется граничное условие шероховатой поверхности, и результаты сравниваются с гладкой поверхностью. В следующей статье показано развитие скорости, кинетической энергии турбулентности и скорости диссипации турбулентности для категории местности 0, определенной в EN 1991-1-4. Используется вертикально анизотропная турбулентность согласно главе 6.3.1 и модель RANS k-ω SST турбулентности.

Свойства жидкости Кинематическая вязкость ν 1.500e-5 м2
Плотность ρ 1.250 кг/м3
Аэродинамическая труба Длина Dx 800.000 м
Ширина Dy 80.000 м
Высота Dz 300.000 м
Параметры расчета Референтная скорость uref 20.000 м/с
Референтная высота zref 10.000 м
Константа фон Кармана κ 0.410
Константа турбулентной вязкости Cμ 0.090
Параметры шероховатости Аэродинамическая длина шероховатости z0 0.003 м
Константа шероховатости Cs 0.500

Аналитическое решение

Аналитическое решение не доступно. Пример предоставляет обзор развития выбранного поля величин в пустой аэродинамической трубе с шероховатой поверхностью на нижней стенке.

Профиль скорости ветра рассчитывается по следующему уравнению:

где u* - это скорость трения, определяемая как:

Профиль турбулентности k определяется по следующему уравнению:

Профиль турбулентности ω рассчитывается по следующему уравнению:

Для эквивалентной шероховатой поверхности высота шероховатости песчинки должна быть рассчитана по следующей формуле:

Настройки симуляции RWIND

  • Моделировано в RWIND 3.03.0220
  • Тип симуляции - стационарное течение
  • Плотность сетки составляет 28%: 2,482,465 ячеек
  • Количество пограничных слоев трубы - 10
  • Высота первой ячейки на дне - 0.046 м
  • y+ колеблется от 800 до 1000
  • Модель турбулентности RANS k-ω SST
  • Входное граничное условие - ABL v, k, ω; нулевой градиент давления
  • Нижняя часть трубы - граничное условие без скольжения с функцией стены для ограничения вязкости турбулентности (песчаная шероховатость) - nutkRoughWallFunction в OpenFOAM
  • Стены и верх трубы - граничное условие скольжения
  • Выходное граничное условие - нулевое давление; нулевой градиент скорости

Результаты

В следующем графике показано сравнение поведения воздушного потока (развитие скорости, кинетической энергии турбулентности и скорости диссипации турбулентности) для шероховатых и гладких поверхностей.


Ссылки


;