153x
000310
2025-06-03

VE0310 | Teste de camada limite atmosférica com superfície rugosa

Descrição

Este exemplo é baseado no teste da Camada Limite Atmosférica (CLA) do documento do WTG Alemão: Ficha Técnica do Comitê 3 - Simulação Numérica de Fluxos de Vento, Capítulo 9.1 (veja as referências). É uma extensão do VE0309 - Teste da Camada Limite Atmosférica.

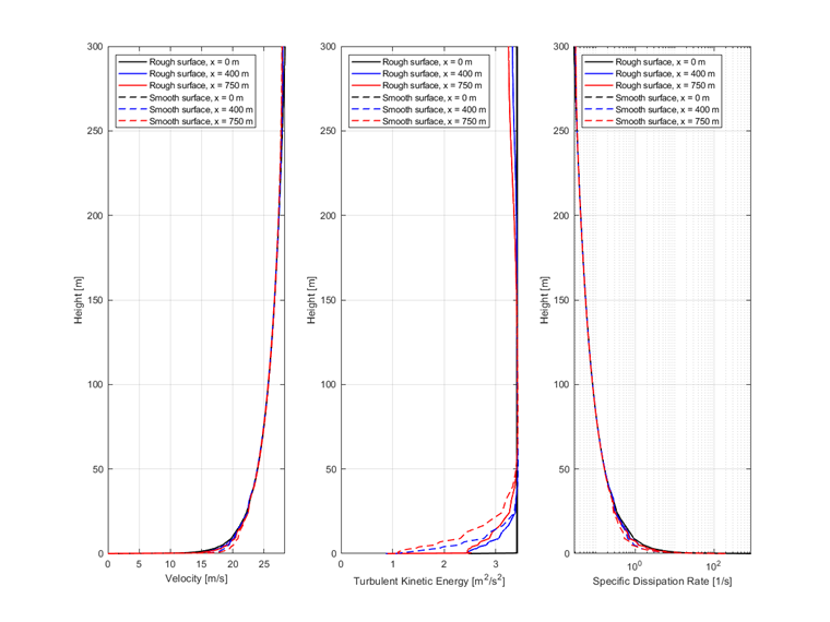
Neste caso, a condição de contorno de superfície áspera é utilizada na parede inferior e os resultados são comparados com a superfície lisa. No artigo a seguir, é mostrado o desenvolvimento de velocidade, energia cinética turbulenta e taxa de dissipação de turbulência para a Categoria de Terreno 0 definida na EN 1991-1-4. Utiliza-se uma turbulência verticalmente anisotrópica conforme o Capítulo 6.3.1 e o modelo de turbulência RANS k-ω SST.

Propriedades do Fluido Viscosidade Cinética ν 1,500e-5 m2/s
Densidade ρ 1,250 kg/m3
Túnel de Vento Comprimento Dx 800,000 m
Largura Dy 80,000 m
Altura Dz 300,000 m
Parâmetros de Cálculo Velocidade de Referência uref 20,000 m/s
Altura de Referência zref 10,000 m
Constante de von Kármán κ 0,410
Constante de Viscosidade Turbulenta Cμ 0,090
Parâmetros de Rugosidade Comprimento de Rugosidade Aerodinâmica de Superfície z0 0,003 m
Constante de Rugosidade Cs 0,500

Solução Analítica

Não há solução analítica disponível. O exemplo fornece uma visão geral do desenvolvimento do campo quantitativo escolhido em um túnel de vento vazio com superfície áspera na parede inferior.

O perfil de velocidade do vento é calculado a partir da seguinte equação:

onde u* é a velocidade de fricção, definida como:

O perfil de turbulência k é definido de acordo com a seguinte equação:

O perfil de turbulência ω é calculado de acordo com a seguinte equação:

Para o equivalente de superfície áspera, a altura de rugosidade de grão de areia deve ser calculada de acordo com a seguinte fórmula:

Configurações de Simulação RWIND

  • Modelado no RWIND 3.03.0220
  • Tipo de simulação de fluxo permanente
  • Densidade da malha é de 28%: 2,482,465 células
  • Número de camadas de contorno do túnel é 10
  • A altura da primeira célula na parte inferior é 0,046 m
  • y+ varia de 800 a 1000
  • Modelo de turbulência RANS k-ω SST
  • Condição de contorno de entrada - CLA v, k, ω; gradiente de pressão zero
  • Fundo do túnel - condição de contorno de não-deslizamento com função de parede para restrição de parede na viscosidade turbulenta (rugosidade de grão de areia) - nutkRoughWallFunction em OpenFOAM
  • Paredes do túnel e topo - condição de contorno de deslizamento
  • Condição de contorno de saída - pressão zero; gradiente de velocidade zero

Resultados

A comparação do comportamento do fluxo de ar (desenvolvimento da velocidade, energia cinética turbulenta e taxa de dissipação de turbulência) com superfícies ásperas e lisas é mostrada no gráfico a seguir.


Referências


;