152x
000310
3. Juni 2025

VE0310 | Test der atmosphärischen Grenzschicht mit rauer Oberfläche

Beschreibung

Dieses Beispiel basiert auf dem Test der atmosphärischen Grenzschicht (ABL) aus dem Informationsblatt des Ausschusses 3 – „Numerische Simulation von Windströmungen“ der Deutschen WTG (siehe Referenzen), Kapitel 9.1. Es handelt sich um eine Erweiterung von VE0309 – Test der atmosphärischen Grenzschicht.


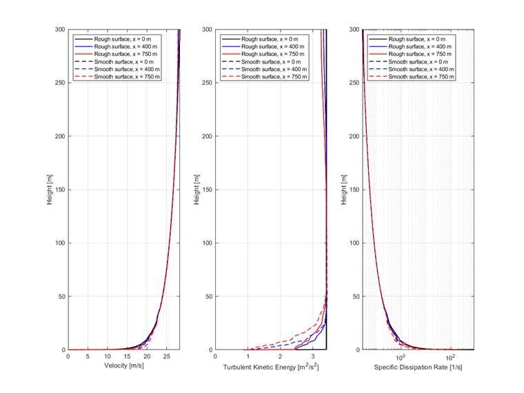
Dabei wird die Randbedingung der rauen Fläche an der Bodenwand verwendet und die Ergebnisse mit denen der glatten Fläche verglichen. Der folgende Artikel zeigt die Entwicklung der Geschwindigkeit, der kinetischen Turbulenzenergie und der Turbulenzdissipationsrate für die in EN 1991-1-4 definierte Geländekategorie 0. Dabei kommt eine vertikal anisotrope Turbulenz gemäß Kapitel 6.3.1 und dem RANS k-Ω SST-Turbulenzmodell zum Einsatz.

Flüssigkeitseigenschaften Kinematische Viskosität ν 1.500e-5 m2/s
Dichte ρ 1.250 kg/m3
Windkanal Länge Dx 800.000 m
Breite Dy 80.000 m
Höhe Dz 300.000 m
Berechnungsparameter Referenzgeschwindigkeit uref 20.000 m/s
Referenzhöhe zref 10.000 m
von Kármán-Konstante κ 0.410
Konstante der Turbulenzviskosität Cμ 0.090
Rauigkeitsparameter Rauigkeitslänge der aerodynamischen Oberfläche z0 0.003 m
Rauigkeitskonstante Cs 0.500

Analytische Lösung

Eine analytische Lösung ist nicht verfügbar. Das Beispiel gibt einen Überblick über die gewählte Mengenfeldentwicklung in einem leeren Windkanal mit rauer Fläche an der Bodenwand.

Das Windgeschwindigkeitsprofil wird aus der folgenden Gleichung berechnet:

wobei u* ist die Reibungsgeschwindigkeit, definiert als:

Das Turbulenz-k-Profil wird gemäß der folgenden Gleichung definiert:

Das Turbulenz-ω-Profil wird gemäß der folgenden Gleichung berechnet:

Für Äquivalent der Oberflächenrauheit muss die Sandkorn-Rautiefe gemäß der folgenden Formel berechnet werden:

RWIND Simulationseinstellungen

  • Modelliert in RWIND 3.03.0220
  • Stationärer Strömungssimulationstyp
  • Netzdichte beträgt 28%: 2.482.465 Zellen
  • Anzahl der Tunnelgrenzschichten beträgt 10
  • Die Höhe der ersten Zelle am Boden beträgt 0.046 m
  • y+ reicht von 800 bis 1000
  • RANS k-ω SST Turbulenzmodell
  • Einlassrandbedingung - ABL v, k, ω; Null-Druck-Gradient
  • Tunnelboden - Rutschfreie Randbedingung mit Wandfunktion für die Wandbeschränkung auf die Turbulenzviskosität (Sandkornrauhigkeit) - nutkRoughWallFunction in OpenFOAM
  • Tunnelwände und Top-Slip-Randbedingung
  • Auslassrandbedingung - Nulldruck; Nullgeschwindigkeitsgradient

Ergebnisse

Der Vergleich des Luftströmungsverhaltens (Entwicklung der Geschwindigkeit, kinetische Turbulenzenergie und Turbulenzdissipationsrate) mit rauen und glatten Oberflächen ist in der folgenden Darstellung dargestellt.


Referenzen


;