153x
000310
2025-06-03

VE0310 | Test warstwy granicznej atmosfery z chropowatą powierzchnią

Opis

Ten przykład oparty jest na teście Warstwy Granicznej Atmosfery (ABL) z dokumentu Niemieckiego WTG: Karta informacyjna Komisji 3 - Numeryczna Symulacja Przepływów Wiatru, Rozdział 9.1 (patrz źródła). Jest to rozszerzenie testu VE0309 - Test Warstwy Granicznej Atmosfery.

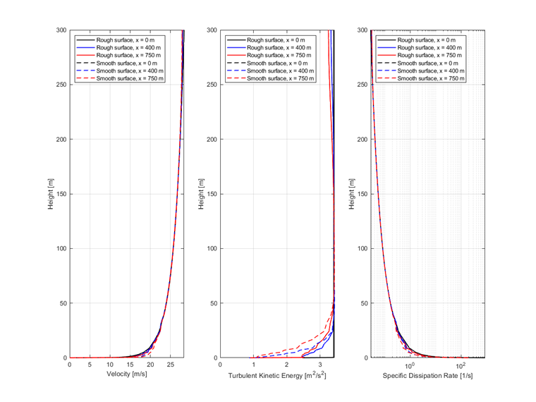
W tym przypadku stosuje się warunek brzegowy szorstkiej powierzchni na dolnej ścianie, a wyniki porównuje się z gładką powierzchnią. W poniższym artykule przedstawiono rozwój prędkości, energii kinetycznej turbulencji i szybkości dysypacji turbulencji dla kategorii terenu 0 zdefiniowanej w EN 1991-1-4. Użyto pionowo anizotropowej turbulencji zgodnie z Rozdziałem 6.3.1 i modelu turbulencji RANS k-ω SST.

Właściwości płynu Lepkość kinematyczna ν 1.500e-5 m2/s
Gęstość ρ 1.250 kg/m3
Tunel wiatrowy Długość Dx 800.000 m
Szerokość Dy 80.000 m
Wysokość Dz 300.000 m
Parametry obliczeniowe Prędkość odniesienia uref 20.000 m/s
Wysokość odniesienia zref 10.000 m
Stała von Kármána κ 0.410
Stała lepkości turbulentnej Cμ 0.090
Parametry szorstkości Aerodynamiczna długość szorstkości powierzchni z0 0.003 m
Stała szorstkości Cs 0.500

Rozwiązanie analityczne

Rozwiązanie analityczne nie jest dostępne. Przykład dostarcza przeglądu rozwoju wybranego pola wielkościowego w pustym tunelu wiatrowym z szorstką powierzchnią na dolnej ścianie.

Profil prędkości wiatru oblicza się z następującego równania:

gdzie u* to prędkość tarcia, zdefiniowana jako:

Profil k turbulentności jest zdefiniowany według następującego równania:

Profil ω turbulentności oblicza się według następującego równania:

Dla szorstkiej powierzchni, wysokość szorstkości ziaren piasku musi być obliczona zgodnie z następującą formułą:

Ustawienia symulacji RWIND

  • Modeled in RWIND 3.03.0220
  • Typ symulacji przepływu ustalonego
  • Gęstość siatki wynosi 28%: 2,482,465 komórek
  • Liczba warstw brzegowych tunelu wynosi 10
  • Wysokość pierwszej komórki na dnie wynosi 0.046 m
  • y+ w zakresie od 800 do 1000
  • Model turbulencji RANS k-ω SST
  • Warunek brzegowy wlotu - ABL v, k, ω; zerowy gradient ciśnienia
  • Dno tunelu - warunek brzegowy przyczepności z funkcją ścienną dla ograniczenia ściany na lepkość turbulentną (szorstkość ziaren piasku) - nutkRoughWallFunction w OpenFOAM
  • Ściany i sufit tunelu - warunek brzegowy poślizgowy
  • Warunek brzegowy wylotu - zerowe ciśnienie; zerowy gradient prędkości

Wyniki

Porównanie zachowania przepływu powietrza (rozwój prędkości, energii kinetycznej turbulencji i szybkości dysypacji turbulencji) dla szorstkiej i gładkiej powierzchni pokazano na poniższym wykresie.


Odniesienia


;