152x
000310
2025-06-03

VE0310 | Test del flusso nello strato limite atmosferico con superficie ruvida

Descrizione

Questo esempio si basa sul test dell'Atmospheric Boundary Layer (ABL) del documento del German WTG: Scheda informativa del Comitato 3 - Simulazione numerica dei flussi di vento, Capitolo 9.1 (vedi riferimenti). È un'estensione di VE0309 - Test del Boundary Layer atmosferico.

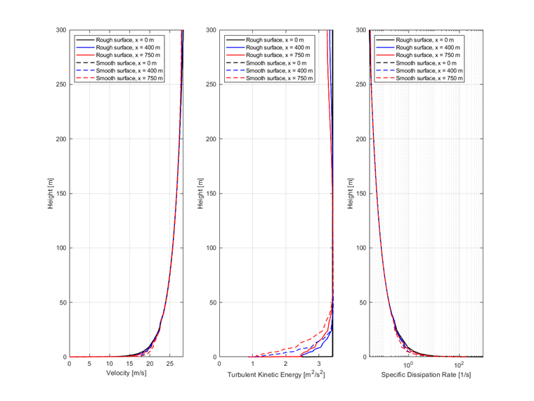
In questo caso, la condizione al contorno di superficie rugosa è utilizzata sulla parete inferiore e i risultati sono confrontati con la superficie liscia. Nell'articolo seguente, è mostrato lo sviluppo di una velocità, energia cinetica di turbolenza e tasso di dissipazione di turbolenza per la Categoria di Terreno 0 definita in EN 1991-1-4. Viene utilizzata una turbolenza anisotropica verticale secondo il Capitolo 6.3.1 e il modello di turbolenza RANS k-ω SST.

Proprietà del Fluido Viscosità Cinematica ν 1.500e-5 m2/s
Densità ρ 1.250 kg/m3
Galleria del Vento Lunghezza Dx 800.000 m
Larghezza Dy 80.000 m
Altezza Dz 300.000 m
Parametri di Calcolo Velocità di Riferimento uref 20.000 m/s
Altezza di Riferimento zref 10.000 m
Costante di von Kármán κ 0.410
Costante di Viscosità Turbolenta Cμ 0.090
Parametri di Rugosità Lunghezza di Rugosità Aerodinamica della Superficie z0 0.003 m
Costante di Rugosità Cs 0.500

Soluzione Analitica

Non è disponibile una soluzione analitica. L'esempio fornisce una panoramica dello sviluppo del campo di quantità scelto in una galleria del vento vuota con superficie rugosa sulla parete inferiore.

Il profilo della velocità del vento è calcolato dalla seguente equazione:

dove u* è la velocità di attrito, definita come:

Il profilo di turbolenza k è definito secondo la seguente equazione:

Il profilo di turbolenza ω è calcolato secondo la seguente equazione:

Per l'equivalente di superficie rugosa, l'altezza di rugosità del granulo di sabbia deve essere calcolata secondo la seguente formula:

Impostazioni della Simulazione RWIND

  • Modellato in RWIND 3.03.0220
  • Tipo di simulazione di flusso stazionaria
  • Densità della mesh è 28%: 2,482,465 celle
  • Numero di strati limite del tunnel è 10
  • L'altezza della prima cella in basso è 0.046 m
  • y+ varia da 800 a 1000
  • Modello di turbolenza RANS k-ω SST
  • Condizione al contorno in ingresso - ABL v, k, ω; gradiente di pressione zero
  • Fondo del tunnel - condizione al contorno di non slittamento con funzione di parete per vincolo di parete sulla viscosità turbolenta (rugosità del granulo di sabbia) - nutkRoughWallFunction in OpenFOAM
  • Pareti e tetto del tunnel - condizione al contorno di slittamento
  • Condizione al contorno di uscita - pressione zero; gradiente di velocità zero

Risultati

Il confronto del comportamento del flusso d'aria (sviluppo della velocità, energia cinetica di turbolenza e tasso di dissipazione di turbolenza) con superfici rugose e lisce è mostrato nel seguente grafico.


Bibliografia


;