11288x
001624
2020-02-19

Действие ветровых нагрузок на высотное здание

В следующем исследовании сравним давление ветра на высотное здание, полученное с помощью RWIND Simulation, с результатами, опубликованными Dagnew et al. на 11 Американской конференции по ветровой технике в июне 2009 г. В нашей статье мы будем сравнивать результаты действия ветровой нагрузки на модель здания CAARC (Commonwealth Advisory Aeronautical Council), полученные с помощью нескольких различных численных методов, с экспериментальными данными, полученными на основе испытаний в аэродинамической трубе.

Программа RWIND Simulation предназначена, прежде всего, для быстрого расчета относительно сложных и больших моделей. Настройки по умолчанию выбраны в этой программе таким образом, что расчет на стандартном ПК можно выполнить всего за 5 минут. Полученные результаты в достаточной мере соответствуют опубликованным в выше упомянутой статье [1] и более подробно поясняются далее.

Расчетная область и сетка

Здание CAARC имеет прямоугольную призматическую форму и размеры 150 x 100 x 600 футов. Размеры упомянутой аэродинамической трубы составляют 1200 футов в высоту, а в направлении потока 4950 футов в длину и 3000 футов в ширину.

Сетка конечного объема с общим числом ячеек 540180 была локально измельчена около модели здания. Такая относительно грубая сетка обеспечит быстрое выполнение расчета. При этом в RWIND Simulation можно задать в области расчета более мелкую сетку (до 50 миллионов ячеек).

Настройка моделирования

Общие параметры моделирования и профиль скорости ветра соответствуют Dagnew et al. {%|#Refer [1]]] следующим образом.

Для модели заданы следующие граничные условия.

параметры Верхняя, левая и правая стороны трубы Заборное отверстие Выход Стены и нижняя поверхность здания
Скорость Проскальзывание профиль скорости Нулевой градиент 0 м/с
сжатие Нулевой градиент 0 Па Нулевой градиент Нулевой градиент
Интенсивность турбулентности - 0,15% - -

Действие турбулентности задано с помощью модели k-ε, в которой интенсивность турбулентности установлена на уровне 0,15%.

Стационарный расчет

Расчет был выполнен с помощью решателя RWIND Simulation, который относится к семейству решателей OpenFOAM - SIMPLE. Речь идет о стационарном решателе для несжимаемого турбулентного потока. Весь процесс моделирования, включая создание сетки и обработку результатов, был выполнен в течение 5 минут на ПК с 8-ядерным процессором (Intel i9-9900K). В качестве критерия сходимости было установлено стандартное значение остаточного давления, равное 0,001, которое было достигнуто после 350 итераций. Если минимальное остаточное давление равно 0,0001, то оно может быть достигнуто после 700 итераций при продолжении расчета. При этом результаты, по сравнению с более высоким остаточным давлением, отличаются незначительно.

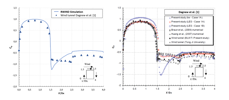
На рисунках 05–07 показано распределение давления по поверхности здания и поле скоростей вокруг здания. Для проверки и сравнения рассчитанный коэффициент давления cp сравнивается с данными, приведенными в {%ref#Refer [1]]] на рисунках 9-11. Коэффициент cp рассчитывается следующим образом:

В программе RWIND Simulation и результатах экспериментальных расчетов Dagnew et al. [1] на наветренной стороне, находятся в близком сравнении. {%ref#Refer [1]]]. На боковых и подветренной сторонах присутствуют различия от 10 до 20% между данными измерений и расчетными данными. Эти различия можно объяснить применением модели турбулентности k-ε и относительно грубой расчетной сеткой. Точность результатов можно повысить с помощью более точной модели турбулентности (LES), которая будет доступна в последующих версиях программы RWIND Simulation.

Результаты программы RWIND Simulation

Сравнение с данными и результатами из {%ref#Refer [1]]]

Для пояснения приведенной выше диаграммы можно добавить, что единица абсцисс x'/Dx вытекает из фактически полученной координаты x из программы RWIND, а также расстояния до оси из программы RWIND, которое равно 100 футам.


Расчет переходных реакций

У высоких и тонких конструкций полезно моделировать нестационарные потоки, чтобы учесть возможный ущерб от вихреобразования. В RWIND 2 для моделирования нестационарных потоков используется программное обеспечение «BluDySolver», которое было разработано на основе стандартного решателя «PimpleFoam» OpenFOAM®. В рамках данного моделирования была создана 91 анимация воздушного потока за все время моделирования 1200 секунд с шагом времени 12 секунд.

Программа предлагает возможность автоматически изменять эти временные слои и сглаживать поток между двумя временными слоями с помощью линейной интерполяции таким образом, чтобы в течение всего времени моделирования можно было отобразить связную анимацию потока. Следующая анимация показывает распределение давления по поверхности здания', а также распределение скорости вокруг здания, которое было получено с помощью расчета переходных процессов.



Чтобы сравнить результаты переходного расчета с результатами стационарного расчета или с результатами Dagnew et al. [1], для данного моделирования был также определен коэффициент давления cp для оценочного пути, показанного на рисунке 08. Все результаты показаны на следующей диаграмме.

Результаты расчета нестационарных параметров на наветренной стороне также очень хорошо соответствуют результатам стационарного расчета, а также экспериментальным данным испытаний в аэродинамической трубе, опубликованным Dagnew et al. {%ref#Refer [1]]]. На подветренной стороне результаты нестационарного потока, аналогично результатам установившегося потока, отличаются от данных измерений на 10 - 20%. На боковых гранях отклонения результатов переходных процессов немного больше по сравнению с другими результатами.

С одной стороны, это можно объяснить тем, что программа RWIND Simulation использует для расчета переходных процессов другой решатель, чем для статического моделирования, а с другой - ее постоянным развитием и улучшением. Из данного сравнения также становится ясно, что модель турбулентности K-omega лучше коррелирует с экспериментальными результатами, чем модель турбулентности K-ε. Кроме того, стационарное моделирование было расширено расчетом по методу второго порядка. Эти результаты также отображены на диаграмме выше, но они отличаются лишь незначительно от результатов геометрически линейного расчета.


Автор

Андреас отвечает за разработку RSTAB, RFEM и RWIND Simulation, а также за направление мембранных конструкций. Кроме того, он координирует процессы обеспечения качества и оказывает поддержку по техническим вопросам в службе поддержки клиентов.

Ссылки
Ссылки
Скачивания


;