11288x
001624
19.2.2020

Zatížení větrem působící na výškovou budovu

Tato studie porovnává tlak větru na výškovou budovu stanovený výpočtem v programu RWIND Simulation s výsledky, které zveřejnili Dagnew a kol. v červnu 2009 na 11. Americké konferenci větrného inženýrství (ACWE). V našem příspěvku porovnáme výsledné hodnoty působení větru na budovu CAARC (Commonwealth Advisory Aeronautical Council) stanovené různými numerickými metodami s experimentálními údaji založenými na testech v aerodynamickém tunelu.

Program RWIND Simulation slouží v první řadě k rychlým výpočtům také u poměrně složitých a rozsáhlých modelů. Při standardním nastavení v tomto programu lze na běžném počítači výsledky vypočítat během 5 minut. Získané výsledky se poměrně shodují s výsledky publikovanými ve výše uvedeném příspěvku [1] a podrobněji se jim věnujeme níže.

Oblast výpočtu a síť

Budova CAARC má tvar obdélníkového hranolu o rozměrech 45,72 x 30,48 x 182,88 m. Aerodynamický tunel, v kterém je model budovy umístěn, má celkovou výšku 365,76 m a dosahuje ve směru proudění délky 1508,76 m a šířky 914,4 m.

Síť konečných objemů s 540 180 buňkami byla lokálně zjemněna v blízkosti modelu budovy. Díky poměrně hrubé síti probíhá výpočet rychle. RWIND Simulation umožňuje ovšem zadat pro oblast výpočtu jemnější síť (do 50 milionů buněk).

Nastavení simulace

Obecné parametry simulace a rychlostní profil vstupního větru jsou podle Dagnewa a kol. [1] následovně.

U modelu jsou definovány následující okrajové podmínky:

Parametry Horní, levá a pravá strana tunelu Vtok Výstup Stěny a spodní strana budovy
Rychlost Skluz profil rychlosti Nulový gradient 0 m/s
Tlak Nulový gradient 0 Pa Nulový gradient Nulový gradient
Intenzita turbulence - 0,15% - -

Pro zachycení účinku turbulence použijeme k-ε model s intenzitou turbulence 0,15 %.

Stacionární výpočet

Výpočet byl proveden pomocí řešiče RWIND Simulation, který vychází z rodiny řešičů OpenFOAM - SIMPLE. Jedná se o stacionární řešič pro nestlačitelné turbulentní proudění. Celý proces simulace, včetně generování sítě a zpracování výsledků, byl na 8jádrovém počítači (Intel i9-9900K) dokončen během 5 minut. Jako kritérium konvergence, které bylo dosaženo po 350 iteracích, byl nastaveno tlakové reziduum na standardní hodnotu 0,001. Pokud ve výpočtu pokračujeme, lze dosáhnout minimálního tlakového rezidua 0,0001 po 700 iteracích. Výsledky se ovšem výrazně neliší od výsledků při větším tlakovém reziduu.

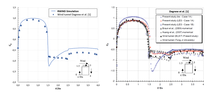
Na obr. 05 až 07 je znázorněno rozdělení tlaku na povrchu budovy a rychlostní pole okolo budovy. Pro ověření a porovnání se vypočítaný součinitel tlaku cp porovná s údaji uvedenými v [1] na obrázcích 9 až 11. Součinitel tlaku cp se stanoví z výrazu:

Výsledky programu RWIND Simulation a výsledky experimentů podle Dagnewa a kol. [1] na návětrné straně. [1]. Na bočních plochách a na závětrné straně lze zaznamenat odchylky 10 až 20 % mezi naměřenými a vypočítanými hodnotami, což lze vysvětlit použitým modelem turbulence (k-epsilon) a poměrně hrubou sítí. Přesnějších výsledků můžeme dosáhnout, pokud použijeme přesnější model turbulence (LES), který je nyní implementován do programu RWIND Simulation a bude k dispozici v budoucích verzích programu RWIND Simulation.

Výsledky programu RWIND Simulation

Porovnání s údaji a výsledky z [1]

Pro vysvětlení předchozího diagramu je třeba dodat, že jednotka osy x'/Dx vyplývá ze skutečně existující souřadnice x z programu RWIND a ze vzdálenosti osy z programu RWIND, která je 100 ft.


Nestacionární výpočet

U vysokých a štíhlých konstrukcí je užitečné simulovat nestacionární proudění, aby bylo možné zohlednit možné poškození způsobené odtrháváním vírů. RWIND 2 používá pro simulaci nestacionárního proudění „BlueDySolver“, který byl vyvinut ze standardního řešiče OpenFOAM® „PimpleFoam“. V rámci této simulace bylo vytvořena animace 91 stavů proudění během doby simulace 1200 sekund s časovým krokem 12 sekund.

Program nabízí možnost tyto časové úseky automaticky změnit a lineární interpolací vyhladit proudění mezi dvěma časovými kroky tak, aby bylo možné zobrazit souvislou animaci proudění po celou dobu simulace. Následující animace ukazují průběh tlaku na povrchu budovy a průběh rychlosti kolem budovy, kterých bylo dosaženo pomocí nestacionárního výpočtu.



Pro porovnání výsledků nestacionárního výpočtu s výsledky stacionárního výpočtu nebo s výsledky Dagnewa a kol. [1], byl pro tuto simulaci stanoven také součinitel tlaku cp pro průběh vyhodnocení znázorněný na obr. 08. Následující graf ukazuje všechny výsledky.

Výsledky nestacionárního výpočtu na návětrné straně jsou také ve velmi dobré shodě s výsledky stacionárního výpočtu a také s experimentálními daty ze zkoušek ve větrném tunelu Dagnew et al. [1]. Na závětrné ploše se výsledky nestacionárního proudění, obdobně jako stacionárního proudění, odchylují cca. 10 až 20 % od naměřených údajů. Odchylky nestacionárních výsledků od ostatních výsledků na bočních plochách jsou o něco větší.

Na jedné straně je to způsobeno tím, že program RWIND Simulation používá pro výpočet nestacionárního proudění jiný řešič než pro stacionární simulaci, a na druhé straně neustálým dalším vývojem a zlepšováním softwaru. Toto srovnání také ukazuje, že model turbulence k-Omega poskytuje větší shodu s experimentálními výsledky než model turbulence k-Epsilon. Stacionární simulace byla navíc rozšířena o výpočet druhého řádu. Tyto výsledky jsou také uvedeny v předchozím grafu, ale od výsledků podle prvního řádu se liší jen nepatrně.


Autor

Andreas odpovídá za vývoj RSTAB, RFEM a RWIND Simulation a také za oblast membránových konstrukcí. Kromě toho koordinuje procesy zajišťování kvality a podporuje při technických dotazech v zákaznické podpoře.

Odkazy
Reference
Stahování


;