7867x
000604
2021-02-26

Ручная настройка кривой потери устойчивости по норме EN 1993-1-1

Das Zusatzmodul RF-/STAHL EC3 übernimmt die für den Biegeknicknachweis zu benutzende Knicklinie für einen Querschnitt automatisch aus den Querschnittseigenschaften. Insbesondere für allgemeine Querschnitte, aber auch für Sonderfälle, kann die Zuordnung der Knicklinie in der Moduleingabe manuell angepasst werden.

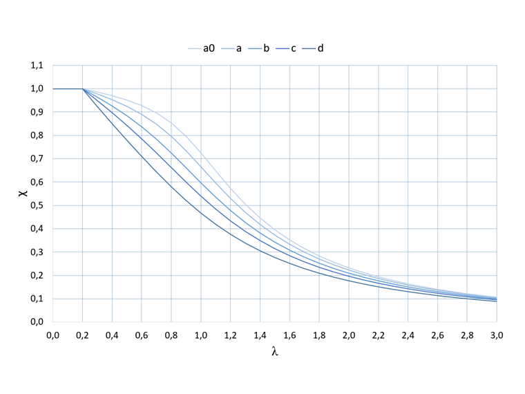
Кривые потери устойчивости при изгибе по норме EN 1993-1-1, таблица 6.2

Линии потери устойчивости в стандарте обозначают понижающий коэффициент χ, который будет использоваться в зависимости от соответствующего коэффициента гибкости λ ̅. Это снижение несущей способности учитывает влияние геометрических и конструктивных несовершенств на жесткость элемента. Они включаются в формулу расчета понижающего коэффициента через коэффициент несовершенства α.

Наиболее благоприятная линия потери устойчивости a0 представляет наименьшее влияние несовершенств и, таким образом, обеспечивает более высокую устойчивость к потере устойчивости при изгибе при той же гибкости. Самой неблагоприятной кривой потери устойчивости с наибольшим коэффициентом несовершенства является кривая потери устойчивости d.

Коэффициенты несовершенства по норме EN 1993-1-1, таблица 6.1
Кривая потери устойчивости a0abcd
Коэффициент несовершенства α0,130,210,340,490,76

Ручная настройка в RF-/STEEL EC3

Подробности сечения отображаются в окне ввода сечений в дополнительном модуле. Для каждого сечения можно в подробных настройках выбрать кривую потери устойчивости отдельно от значения из базы данных.


Ссылки


;