7867x
000604
2021-02-26

Regolazione manuale della curva di instabilità secondo EN 1993-1-1

Das Zusatzmodul RF-/STAHL EC3 übernimmt die für den Biegeknicknachweis zu benutzende Knicklinie für einen Querschnitt automatisch aus den Querschnittseigenschaften. Insbesondere für allgemeine Querschnitte, aber auch für Sonderfälle, kann die Zuordnung der Knicklinie in der Moduleingabe manuell angepasst werden.

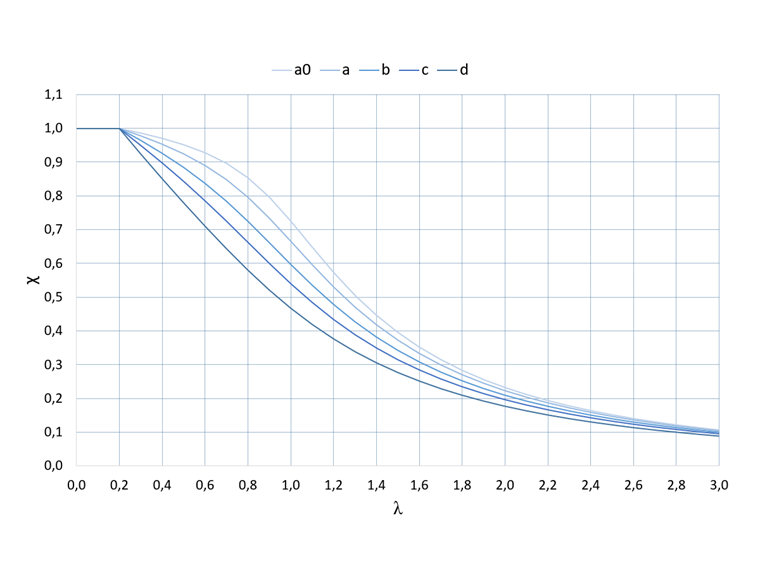
Curve di instabilità a flessione secondo EN 1993-1-1, tabella 6.2

Le linee di instabilità nella norma indicano il coefficiente di riduzione χ da utilizzare, in funzione del relativo rapporto di snellezza λ ̅. Questa riduzione della capacità portante tiene conto dell'influenza delle imperfezioni geometriche e strutturali sulla rigidezza del componente. Questi sono inclusi nella formula di calcolo del coefficiente di riduzione tramite il coefficiente di imperfezione α.

La linea più favorevole all'instabilità a0 rappresenta la minore influenza delle imperfezioni e quindi fornisce una maggiore resistenza all'instabilità flessionale con la stessa snellezza. La curva di instabilità più sfavorevole con il coefficiente di imperfezione più grande è la curva di instabilità d.

Coefficienti di imperfezione secondo EN 1993-1-1, Tabella 6.1
Curva di instabilitàa0 bCd
Fattore di imperfezione α0,130,210,340,490,76

Regolazione manuale in RF-/STEEL EC3

Nella finestra di immissione delle sezioni trasversali, i dettagli della sezione trasversale vengono visualizzati di nuovo nel modulo aggiuntivo. Per ogni sezione trasversale, è possibile selezionare la curva di instabilità in modo diverso dal valore del database nelle impostazioni dei dettagli.


Link


;