7867x
000604
26.02.2021

Réglage manuel de la courbe de flambement selon l'EN 1993-1-1

Das Zusatzmodul RF-/STAHL EC3 übernimmt die für den Biegeknicknachweis zu benutzende Knicklinie für einen Querschnitt automatisch aus den Querschnittseigenschaften. Insbesondere für allgemeine Querschnitte, aber auch für Sonderfälle, kann die Zuordnung der Knicklinie in der Moduleingabe manuell angepasst werden.

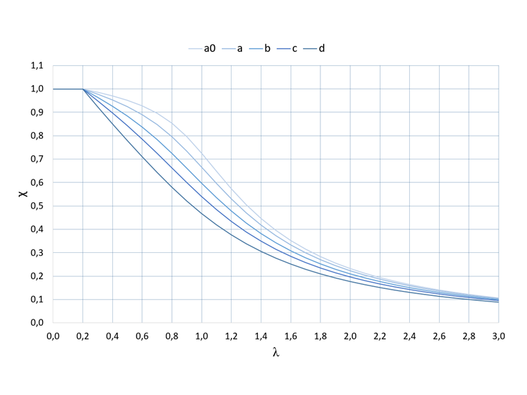
Courbes de flambement par flexion selon le tableau 6.2 de l'EN 1993-1-1

Les lignes de flambement de la norme indiquent le facteur de réduction χ à utiliser en fonction de l'élancement λ ̅ correspondant. Cette réduction de la capacité portante tient compte de l'influence des imperfections géométriques et structurales sur la rigidité du composant. Celles-ci sont incluses dans la formule de calcul du facteur de réduction via le facteur d'imperfection α.

La ligne de flambement a0 la plus favorable représente la moindre influence des imperfections et fournit ainsi une résistance au flambement en flexion plus élevée avec le même élancement. La courbe de flambement la plus défavorable avec le facteur d'imperfection le plus élevé est la courbe de flambement d.

Coefficients d'imperfection selon EN 1993-1-1, tableau 6.1
Courbe de flambementa0 bcd
Facteur d'imperfection α0,130,210,340,490,76

Réglage manuel dans RF-/STEEL EC3

Dans la fenêtre de saisie des sections, les détails de la section sont à nouveau affichés dans le module additionnel. Pour chaque section, vous pouvez sélectionner la courbe de flambement différemment de la valeur de la base de données dans les paramètres détaillés.


Liens


;