7867x
000604
2021-02-26

Ręczna regulacja krzywej wyboczenia zgodnie z EN 1993-1-1

Das Zusatzmodul RF-/STAHL EC3 übernimmt die für den Biegeknicknachweis zu benutzende Knicklinie für einen Querschnitt automatisch aus den Querschnittseigenschaften. Insbesondere für allgemeine Querschnitte, aber auch für Sonderfälle, kann die Zuordnung der Knicklinie in der Moduleingabe manuell angepasst werden.

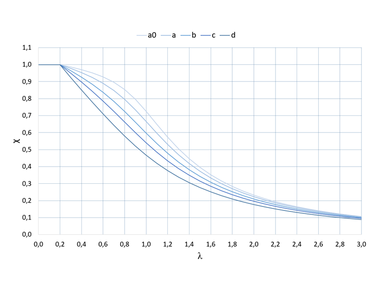
Krzywe wyboczenia giętnego zgodnie z EN 1993-1-1, tabela 6.2

Linie wyboczenia w normie wskazują, jaki współczynnik redukcyjny χ należy zastosować w zależności od powiązanego współczynnika smukłości λ ̅. To zmniejszenie nośności uwzględnia wpływ imperfekcji geometrycznych i konstrukcyjnych na sztywność elementu. Są one uwzględniane we wzorze obliczeniowym współczynnika redukcyjnego poprzez współczynnik imperfekcji α.

Najkorzystniejsza linia wyboczenia a0 przedstawia najmniejszy wpływ imperfekcji, a tym samym zapewnia większą nośność na wyboczenie giętne przy tej samej smukłości. Najbardziej niekorzystną krzywą wyboczenia o największym współczynniku imperfekcji jest krzywa wyboczenia d.

Współczynniki imperfekcji Zgodnie z EN 1993-1-1, tabela 6.1
Krzywa wyboczenia a0 bC[CRASHREASON.DESCRIPTION]
Współczynnik imperfekcji α0,130,210,340,490,76

Ręczna kalibracja w RF-/STEEL EC3

W oknie wprowadzania przekrojów szczegóły przekroju są ponownie wyświetlane w module dodatkowym. Dla każdego przekroju można wybrać krzywą wyboczenia inaczej niż wartość z bazy danych w ustawieniach szczegółowych.


Odnośniki


;