7776x
000604
2021-02-26

根据EN 1993-1-1手动调整屈曲曲线

Das Zusatzmodul RF-/STAHL EC3 übernimmt die für den Biegeknicknachweis zu benutzende Knicklinie für einen Querschnitt automatisch aus den Querschnittseigenschaften. Insbesondere für allgemeine Querschnitte, aber auch für Sonderfälle, kann die Zuordnung der Knicklinie in der Moduleingabe manuell angepasst werden.

抗弯屈曲曲线按照EN 1993-1-1,表6.2

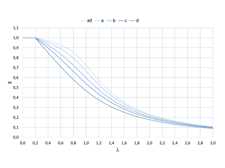
在规范中的屈曲线表示使用的折减系数χ,取决于相关的长细比λ̅。 这种承载能力的降低考虑了几何缺陷和结构缺陷对构件刚度的影响。 这些都包含在通过缺陷系数α通过折减系数的计算公式中。

最有利的屈曲线a0表示对缺陷的影响最小,因此在相同的长细情况下具有较大的抗弯屈曲性。 缺陷系数最大的最不利的屈曲曲线是d。

缺陷系数按照EN 1993-1-1,表6.1
屈曲曲线 a0 BCd
缺陷系数α0,130,210,340,490,76

在RF-/STEEL EC3中的手动调整

在截面的输入窗口中,在附加模块中再次显示截面详细信息。 对于每个截面,在数据库的详细设置中选择的屈曲曲线与数据库中的值不同。


链接


;