7867x
000604
26. Februar 2021

Manuelle Anpassung der Knicklinie nach EN 1993-1-1

Das Zusatzmodul RF-/STAHL EC3 übernimmt die für den Biegeknicknachweis zu benutzende Knicklinie für einen Querschnitt automatisch aus den Querschnittseigenschaften. Insbesondere für allgemeine Querschnitte, aber auch für Sonderfälle, kann die Zuordnung der Knicklinie in der Moduleingabe manuell angepasst werden.

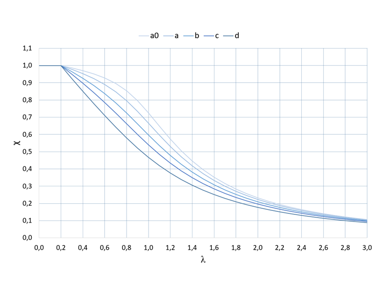
Biegeknicklinien nach EN 1993-1-1, Tabelle 6.2

Die Knicklinien in der Norm geben den zu benutzenden Abminderungsbeiwert χ in Abhängigkeit des bezogenen Schlankheitsgrades λ ̅ an. Diese Abminderung der Tragfähigkeit berücksichtigt den Einfluss der geometrischen sowie strukturellen Imperfektionen auf die Bauteilsteifigkeit. In die Berechnungsformel des Abminderungsbeiwertes gehen diese über einen Imperfektionsbeiwert α mit ein.

Die günstigste Knicklinie a0 steht für den geringsten Einfluss der Imperfektionen und liefert somit bei gleicher Schlankheit eine höhere Biegknicktragfähigkeit. Die ungünstigste Knicklinie mit dem größten Imperfektionsbeiwert ist Knicklinie d.

Imperfektionsbeiwerte nach EN 1993-1-1, Tabelle 6.1
Knickliniea0abcd
Imperfektionsbeiwert α0,130,210,340,490,76

Manuelle Anpassung in RF-/STAHL EC3

In der Eingabemaske der Querschnitte werden im Zusatzmodul noch einmal die Querschnittsdetails angezeigt. Hier kann für jeden Querschnitt in den Detaileinstellungen eine Auswahl der Knicklinie auch abweichend von dem Datenbankwert vorgenommen werden.


Links


;