7867x
000604
2021-02-26

Ajuste manual da curva de encurvadura de acordo com EN 1993-1-1

Das Zusatzmodul RF-/STAHL EC3 übernimmt die für den Biegeknicknachweis zu benutzende Knicklinie für einen Querschnitt automatisch aus den Querschnittseigenschaften. Insbesondere für allgemeine Querschnitte, aber auch für Sonderfälle, kann die Zuordnung der Knicklinie in der Moduleingabe manuell angepasst werden.

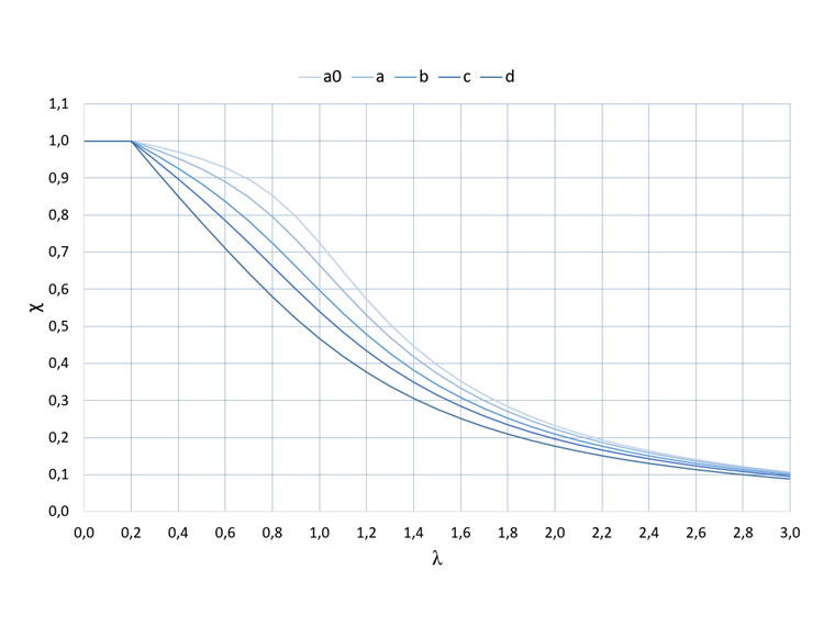
Curvas de encurvadura por flexão de acordo com EN 1993-1-1, Tabela 6.2

As linhas de encurvadura na norma indicam o fator de redução χ a ser utilizado, dependendo da relação de esbelteza relacionada λ ̅. Esta redução da capacidade de carga leva em consideração a influência das imperfeições geométricas e estruturais na rigidez do componente. Estes estão incluídos na fórmula de cálculo do fator de redução através do fator de imperfeição α.

A linha de encurvadura mais favorável a0 representa a menor influência das imperfeições e, assim, proporciona uma maior resistência à encurvadura por flexão com a mesma esbelteza. A curva de encurvadura mais desfavorável com o maior fator de imperfeição é a curva de encurvadura d.

Coeficientes de imperfeição de acordo com EN 1993-1-1, Tabela 6.1
Curva de encurvadura a0 Bc[BUG.DESCRIPTION]
Fator de imperfeição α0,130,210,340,490,76

Ajuste manual no RF-/STEEL EC3

Na janela de entrada das secções, os detalhes das secções são novamente apresentados no módulo adicional. Para cada secção, pode selecionar a curva de encurvadura de forma diferente do valor da base de dados nas configurações de detalhe.


Ligações


;